Tabellenverzeichnis
Abbildungsverzeichnis
1 Zusammenfassung
EU-SILC (Statistics on Income and Living Conditions) bezeichnet eine Statistik über Einkommen und Lebensbedingungen von Privathaushalten in Europa. Sie bildet eine wichtige Grundlage für die Europäische Sozialstatistik.
Es handelt sich dabei um eine jährliche Stichprobenerhebung die in Österreich von STATISTK AUSTRIA durchgeführt wird.
Aufgrund der relativ kleinen Stichprobengrößen für Tirol resultieren bei der Schätzung von tiefer gegliederten Merkmalen zum Teil hohe Standardfehler. Diese führen zu größeren statistischen Schwankungsbreiten und damit zu erschwerter Interpretation der interessierenden Schätzergebnisse.
In der vorliegenden Arbeit wurde zur Analyse der EU-SILC Daten ein gleitender, symmetrischer und 3- jähriger Durchschnitt der einzelnen Erhebungsjahre gebildet, um die statistischen Schwankungsbreiten möglichst klein zu halten. Die ausgewiesenen Ergebnisse werden als Durchschnitt der Jahre 2022 bis 2024 errechnet.
Einkommenssituation
Das mediane verfügbare Haushaltseinkommen exklusive aller sozialen Transferzahlungen der Tiroler Haushalte liegt mit € 39.019 jährlich etwas unter dem Medianwert Österreichs der sich auf € 40.018 beläuft. Rechnet man die sozialen Transfers hinzu, ergibt sich für Tirol ein Haushaltseinkommen von € 44.329 jährlich. In Österreich berträgt das mediane Haushaltseinkommen nach Transfers € 44.597 im Jahr und ist somit ähnlich hoch wie in Tirol.
Das äquivalisierte Einkommen liegt in Tirol im Mittel mit € 29.895 jährlich etwa 3,1 Prozent unter dem Österreichschnitt von € 30.832. Erwerbstätigkeit erhöht die Wahrscheinlichkeit auf ein überdurchschnittliches Einkommen deutlich. Erwerbstätige Personen erreichen in Tirol ein äquivalisiertes Medianeinkommen von rund 33.616 Euro jährlich. Das deutlich niedrigste Nettohaushaltseinkommen erzielt die Gruppe der Ein-Elternhaushalte mit mind. einem Kind mit knapp 18.718 Euro.
Armutsgefährdung (1. Teilbereich der Armuts- oder Ausgrenzungsgefährdung)
Im Durchschnitt der Jahre 2022 bis 2024 gelten laut Definition in Tirol 101.937 Personen als armutsgefährdet, was einer Armutsgefährdungsquote von 13,4% entspricht. Diese Personen erreichen das festgelegte Schwelleneinkommen von € 18.499 pro Jahr nicht. Auf Vergleiche mit vorigen Untersuchungen oder mit anderen regionalen Einheiten wird verzichtet, da sie aufgrund der Schwankungsbreite statistisch nicht signifikant abgesichert werden können.
Personen, die nicht in Österreich geboren wurden, haben eine deutlich erhöhte Armutsgefährdungsquote (24,3%). Ebenfalls erhöht armutsgefährdet sind Einpersonenhaushalte (25,1%), Personen ohne Erwerbstätigkeit (15,9%) und Menschen, die das 65. Lebensjahr überschritten haben (24,5%).
Dauerhafte Armutsgefährdung
In Tirol gelten 54.880 Personen - das entspricht 7,8% der Bevölkerung - als dauerhaft armutsgefährdet.
Erhebliche materielle und soziale Deprivation (2. Teilbereich der Armuts- oder Ausgrenzungsgefährdung)
Armut kann nicht nur aufgrund monetärer Defizite, sondern auch als mangelnde Teilhabe innerhalb einer Gesellschaft definiert werden. Ein Indikator dieser mangelnden Teilhabe wird als materielle und soziale Deprivation bezeichnet. Als erheblich materiell und sozial depriviert gelten Personen, die sich sieben der 13 von der EU festgelegten Grundbedürfnisse finanziell nicht leisten können. In Tirol gelten nach diesen Kriterien rund 2,1% der Bevölkerung als erheblich materiell und sozial depriviert. Bundesweit liegt die Deprivationsquote bei 3,2%.
Keine oder sehr niedrige Erwerbsintensität (3. Teilbereich der Armuts- oder Ausgrenzungsgefährdung)
Keine oder sehr niedrige Erwerbsintensität weisen Haushalte auf, deren Erwerbsbeteiligung weniger als 20% des maximal möglichen jährlichen Erwerbspotentials unterschreitet. In Tirol leben 15.119 Personen (2,8% der ewerbsfähigen Personen) in Haushalten mit keiner oder sehr nierdiger Erwerbsintensität. Österreichweit sind es 374.321 Personen, das sind 5,8% der erwerbsfähigen Bevölkerung.
Armuts- oder Ausgrenzungsgefährdung
Die “Europa 2030” Strategie ist ein Aktionsplan der EU-Kommission für den Zeitraum bis 2030 mit dem Ziel, die Inhalte der 2017 von der EU in Göteborg beschlossenen “Europäischen Säule sozialer Rechte” umzusetzen. Zentrales Ziel dieses Plans ist die Reduktion der Armut in Europa. Zur Messung der Zielerreichung wird der Indikator der Armuts- oder Ausgrenzungsgefährdung herangezogen. Als armuts- oder ausgrenzungsgefährdet gelten Personen, die von mindestens einem der drei vorgenannten Teilbereiche betroffen sind.
Konkret sind in Tirol 118.386 Personen, das sind 15,6% der Bevölkerung, von Ausgrenzung bedroht. Österreichweit liegt die Ausgrenzungsgefährdungsquote bei 17,4%.
Ein-Eltern-Haushalte mit mindestens einem Kind sind von Armut- oder Ausgrenzung mit einer Quote von 61,1% sehr stark gefährdet.
Ebenfalls eine erhöhte Armuts- oder Ausgrenzungsgefährdung weisen Einpersonenhaushalte (27,2%), Pensionist:innen (26,5%) und Personen deren Geburstland nicht Österreich ist (27,6%) auf.
Mehrfach-Ausgrenzungsgefährdung - “Manifeste Armut”
Mehrfach-Ausgrenzungsgefährdung liegt vor, wenn Personen von mindestens zwei der drei genannten Teilbereichen betroffen sind. Diese Personen gelten als manifest arm.
Dieser Definition folgend gelten in Tirol 14.417 Personen als manifest arm. Das entspricht einer Mehrfach-Ausgrenzungsgefährdungquote von 1,9%. Auf Bundesebene sind 353.758 Personen (3,9%) als manifest arm einzustufen.
Working Poor
Mit einem Einkommen unterhalb der Armutsgefährdungsschwelle müssen in Tirol etwa 7,7% der Erwerbstätigen leben. Diese rund 27.085 als „Working Poor“ bezeichneten Personen erreichen ein jährliches äquivalisiertes Einkommen von 14.894 Euro. Rund 16.380 Personen mit Vollzeitbeschäftigung (= 7,1% aller vollzeitbeschäftigten Personen) gelten als Working Poor. Bei den Teilzeitbeschäftigten liegt die Quote bei 8,4% (bezogen auf alle teilzeitbeschäftigten Personen), das sind 6.799 Personen.
2 Einleitung
2.1 Erläuterungen zu den EU-SILC Erhebungen
EU-SILC (Statistics on Income and Living Conditions) bezeichnet eine Statistik über Einkommen und Lebensbedingungen von Privathaushalten in Europa. Sie bildet eine wichtige Grundlage für die Europäische Sozialstatistik.
In Österreich wurde EU-SILC erstmals 2003 als einmalige Querschnittserhebung von STATISTIK AUSTRIA durchgeführt. Mit 2004 begann eine integrierte Längs- und Querschnittserhebung – das heißt, jeweils rund drei Viertel der Haushalte werden auch im Folgejahr wieder befragt, ein Viertel der Stichprobe kommt jährlich neu dazu (Rotationsprinzip). Grundlage für die Stichprobe ist eine reine Zufallsauswahl aus dem zentralen Melderegister. Alle Personen eines Haushalts ab 16 Jahren werden persönlich befragt. Zusätzlich werden grundlegende Informationen zu Kindern erhoben, womit sich auf Bundesebene ein umfassendes Bild der Einkommens- und Lebenssituation von Menschen in österreichischen Haushalten zeichnen lässt.
Seit dem Vorliegen der Einkommens- und Lebensbedingungen-Statistikverordnung (ELStV) ist STATISTIK AUSTRIA dazu angehalten, Einkommen der Statistik EU-SILC aus Verwaltungsdaten zu befüllen. In die Erhebung EU-SILC 2011 wurden erstmals schrittweise Verwaltungsdaten miteinbezogen. Seit dem Projekt EU-SILC 2012 werden Registerdaten in großem Ausmaß sowohl für die Berechnung von Komponenten des Haushaltseinkommens herangezogen, als auch für die Gewichtung verwendet. Aufgrund der unterschiedlichen strukturellen Beschaffenheit von Befragungs- und Verwaltungsdaten unterliegt die Vergleichbarkeit der Ergebnisse aus diesen beiden Quellen nicht unerheblichen Einschränkungen. Es entsteht somit vor allem bei den Einkommensvariablen sowie bei den einkommensbasierten Sozialindikatoren ab EU-SILC 2012 ein deutlicher Bruch in der Zeitreihe. Darüber hinaus sind aufgrund der geänderten Gewichtung auch nicht-einkommensbasierte Indikatoren betroffen. Deshalb wurde von STATISTIK AUSTRIA, gemeinsam mit dem Bundesministerium für Arbeit, Soziales und Konsumentenschutz beschlossen, die Daten auch der Vorjahre 2008 – 2011 auf Basis von Verwaltungsdaten zurückzurechnen um eine methodisch kontinuierliche Zeitreihe ab 2008 zu ermöglichen (siehe Lamei u. a. (2014)).
Bei Veröffentlichung dieser Arbeit hatte die Tiroler Landesstatistik die Erhebungen EU-SILC 2022 – 2024 auf Basis von Verwaltungsdaten zur Verfügung. Die Stichprobengrößen der in dieser Arbeit verwendeten Erhebungen sind in Tabelle 1 dargestellt.
Aus den relativ kleinen Stichprobengrößen für Tirol resultieren bei der Schätzung von tiefer gegliederten Merkmalen zum Teil hohe Standardfehler. Diese führen zu größeren statistischen Schwankungsbreiten und damit zu erschwerter Interpretation der interessierenden Schätzergebnisse. Dieses Problem betraf auch alle EU- SILC Auswertungen der Jahre 2003/04 bis 2010.
Um dieser Problematik etwas entgegenzuwirken werden in dieser Arbeit die Daten von drei aufeinanderfolgenden Erhebungen verwendet. Die interessierenden Parameter
der Erhebungen 2022 bis 2024 werden für jedes Jahr geschätzt und ein 3-jähriger, symmetrischer Durchschnitt (arithmetisches Mittel) errechnet. Die Parameter für
das Jahr 2023 werden aus dem Durchschnitt der Jahre 2022, 2023 und 2024 geschätzt. Die Schätzer sowie die statistischen Fehler (Standardfehler,
Konfidenzintervalle) werden mittels Bootstrap- Verfahren ermittelt, welches das Stichprobendesign (Rotationsprinzip) berücksichtigt. Verwendet wurde hierfür das für die Statistik Software R (siehe R Core Team (2019)) von Statistik Austria entwickelte Packet"sdsurvey" (siehe Gussenbauer u. a. (2022)).
Die Idee der 3- jährigen Durchschnitte basiert auf der Beobachtung, dass sich die Einkommen einerseits und die Parameter der Armuts- bzw. Ausgrenzungsgefährdung
andererseits nur sehr langfristig ändern. Der Verlust an Aktualität zu Gunsten aussagestärkerer Punktschätzer mit geringeren Schwankungsbreiten kann somit hingenommen werden.
Wird in der vorliegenden Arbeit auf eine Jahresangabe verzichtet, repräsentieren die ausgewiesenen Werte Durchschnitte der Jahre 2022 bis 2024.
Ausnahmen bilden Kapitel 4.1.2.2, das die Zeitreihe der Armutsgefährdungsquote nach Einzeljahren darstellt, sowie Kapitel 4.1.3, in dem die Berechnung des Indikators “Dauerhafte Armutsgefährdung” definitionsgemäß ebenfalls auf Einzeljahreswerten basiert.
| Jahr | Bundesland | Haushalte | Personen | ||
|---|---|---|---|---|---|
| unter 16 Jahren | 16 Jahre und älter | Insgesamt | |||
| 2022 | Burgenland | 217 | 54 | 391 | 445 |
| 2022 | Kärnten | 426 | 148 | 732 | 880 |
| 2022 | Niederösterreich | 1.103 | 393 | 1.972 | 2.365 |
| 2022 | Oberösterreich | 870 | 271 | 1.550 | 1.821 |
| 2022 | Salzburg | 369 | 149 | 653 | 802 |
| 2022 | Steiermark | 854 | 231 | 1.501 | 1.732 |
| 2022 | Tirol | 509 | 167 | 878 | 1.045 |
| 2022 | Vorarlberg | 263 | 132 | 461 | 593 |
| 2022 | Wien | 1.327 | 360 | 2.053 | 2.413 |
| 2022 | Österreich | 5.938 | 1.905 | 10.191 | 12.096 |
| 2023 | Burgenland | 218 | 54 | 399 | 453 |
| 2023 | Kärnten | 479 | 147 | 824 | 971 |
| 2023 | Niederösterreich | 1.126 | 384 | 1.997 | 2.381 |
| 2023 | Oberösterreich | 910 | 295 | 1.610 | 1.905 |
| 2023 | Salzburg | 389 | 157 | 686 | 843 |
| 2023 | Steiermark | 858 | 253 | 1.502 | 1.755 |
| 2023 | Tirol | 533 | 188 | 931 | 1.119 |
| 2023 | Vorarlberg | 274 | 127 | 476 | 603 |
| 2023 | Wien | 1.335 | 384 | 2.068 | 2.452 |
| 2023 | Österreich | 6.122 | 1.989 | 10.493 | 12.482 |
| 2024 | Burgenland | 222 | 50 | 402 | 452 |
| 2024 | Kärnten | 463 | 130 | 782 | 912 |
| 2024 | Niederösterreich | 1.126 | 376 | 1.993 | 2.369 |
| 2024 | Oberösterreich | 885 | 313 | 1.576 | 1.889 |
| 2024 | Salzburg | 383 | 150 | 668 | 818 |
| 2024 | Steiermark | 874 | 287 | 1.484 | 1.771 |
| 2024 | Tirol | 591 | 211 | 1.003 | 1.214 |
| 2024 | Vorarlberg | 282 | 107 | 475 | 582 |
| 2024 | Wien | 1.367 | 418 | 2.131 | 2.549 |
| 2024 | Österreich | 6.193 | 2.042 | 10.514 | 12.556 |
2.2 Europäische Indikatoren zu Armut und sozialer Eingliederung
Im Juni 2010 haben sich die Europäischen Regierungen auf eine neue Wachstumsstrategie bis zum Jahr 2020 geeinigt. Diese sogenannte „Europa 2020“ Strategie folgt der im Jahr 2000 beschlossenen Lissabon- Strategie. Unter anderem wird erstmals ausdrücklich ein Schwerpunkt auf die Verringerung von Armut gelegt und es werden dafür auch konkrete Zielvorgaben gemacht.
Im Jahr 2017 wurde in Göteburg die Europäische Säule sozialer Rechte beschlossen. Um diese umzusetzen legte die Kommission im März 2021 ein neues Kernziel fest, nämlich die Zahl der Menschen in Armut bis 2030 um mindestens 15 Millionen (davon mindestens 5 Millionen Kinder) zu verringern. Es wurde ein Aktionsplan, die Europa 2030-Strategie entwickelt.
Zur Messung der Zielerreichung wird der Indikator der Armuts- oder Ausgrenzungsgefährdung herangezogen. Dieser Indikator setzt sich aus drei Teilbereichen zusammen.
Demnach gelten Personen als armuts- oder ausgrenzungsgefährdet
deren äquivalisiertes Haushaltseinkommen unterhalb eines festgelegten Schwellenwertes (Armutsgefährdungsschwelle = 60% des nationalen Medianeinkommens) liegt oder
die erheblich materiell und sozial benachteiligt sind oder
die in einem Haushalt mit keiner oder sehr niedriger Erwerbsintensität leben.
In der vorliegenden Arbeit werden der Indikator der Armuts- oder Ausgrenzungsgefährdung, sowie alle Teilbereiche für Tirol genauer betrachtet.
2.3 Erklärung zu den in der Publikation verwendeten Box-Plot Grafiken
In den Abbildungen 2,
3 und weiteren Grafiken werden
sogenannte Box-Plots
(ohne zusätzliche Unterscheidung von Ausreißern) verwendet,
um Verteilungen darzustellen.
Mithilfe von Box-Plots können die mittlere Lage und Streuung
einer Verteilung (Gruppe von mehreren Messdaten) übersichtlich dargestellt
und mit anderen Verteilungen verglichen werden.
Hierfür werden die Messwerte zunächst der Größe nach geordnet und
anschließend folgende Werte ermittelt:
- Minimum: Bezeichnet den kleinsten Datenwert.
- erstes Quartil: Bezeichnet den Datenpunkt, für welchen 25 % der Messwerte gleich oder kleiner sind.
- Median: Bezeichnet den Datenpunkt, für welchen die Hälfte der Messwerte gleich oder kleiner sind.
- drittes Quartil: Bezeichnet den Datenpunkt, für welchen 75 % der Messwerte gleich oder kleiner sind.
- Maximum: Bezeichnet den größten Datenwert.
In Abbildung 1 wird ein Box-Plot anhand eines Beispieldatensatzes mit Einkommen von 102 fiktiven Haushalten erläutert. In der linken Abbildung wird die Verteilung als Histogramm dargestellt und in der rechten als Box-Plot, wobei die einzelnen Elemente des Box-Plots mit Hilfstexten versehen wurden. Wie man in Abbildung 1 erkennen kann, besteht der Box-Plot im Wesentlichen aus vier Elementen:
- einer Box (schwarzer Rahmen), welche vertikal vom ersten bis zum dritten Quartil der Verteilung aufgespannt wird. Im Beispiel liegt das erste Quartil bei 4.925 Euro und das dritte Quartil bei 6.300 Euro. Die Breite der Box hat keine spezielle Bedeutung, die Höhe hingegen schon. Die Position der Box zeigt an, dass genau die Hälfte aller erfassten Haushalte zwischen 4.925 und 6.300 Euro Haushaltseinkommen erreichen.
- dem Median-Wert, welcher als dicke, horizontale Linie innerhalb der Box dargestellt wird. Im Beispiel liegt der Median-Wert des Haushaltseinkommens bei 5.800 Euro. Dies bedeutet, dass genau die Hälfte aller erfassten Haushalte ein höheres bzw. niedrigeres Einkommen als 5.800 Euro haben.
- dem Minimum, welches durch eine vertikal von der Box nach unten verlaufenden Linie, auch Antenne oder Whisker genannt, angedeutet wird. Das untere Ende der Linie entspricht dem Minimum der Verteilung. In diesem Beispiel liegt das Minimum bei 1.500 Euro.
- dem Maximum, welches durch eine vertikal von der Box nach oben verlaufenden Linie, auch Antenne oder Whisker genannt, angedeutet wird. Das obere Ende der Linie entspricht dem Maximum der Verteilung. In diesem Beispiel liegt das Maximum bei 7.400 Euro.
ACHTUNG: Im Gegensatz zur Definition der Box ist die Definition der Antennen bzw. Whiskers nicht immer einheitlich! Im vorliegenden Bericht repräsentieren die Whiskers, im Gegensatz zum hier erläuterten Beispiel, nicht das Maximum bzw. Minimum sondern das 10% bzw. 90% Perzentil. D.h., jene 10% der Haushalte mit den niedrigsten Einkommen erhalten weniger als die untere Grenze des Whiskers angibt, jene 10% mit den höchsten Einkommen erhalten mehr als das obere Ende des Whiskers anzeigt. Grund dafür ist die bessere Darstellbarkeit der Box-Plots, denn extreme Außreiser können dabei unberücksichtigt bleiben.
Abbildung 1: Lesebeispiel für einen Box-Plot
3 Einkommen und Lebensstandard
3.1 Verfügbares Haushaltseinkommen
Auf Grundlage der Daten aus den EU-SILC–Erhebungen kann auf das verfügbare Einkommen der Tiroler Haushalte hochgerechnet werden. Als Einkommenszeitraum gilt jeweils das Vorjahr des Erhebungsjahres, beispielsweise gelten in den Erhebungen EU-SILC 2022, 2023 und 2024 die Jahre 2021, 2022 und 2023 als Referenzjahre für die Einkommen. Privatpensionen werden in die Berechnung des Haushaltseinkommens nicht miteinbezogen.
Die Berechnung des verfügbaren Haushaltseinkommens wird in folgender Weise durchgeführt:
Erwerbseinkommen aus unselbständiger und selbständiger Erwerbstätigkeit
+ Kapitalerträge ( Zinsen und Dividenden)
= Markteinkommen brutto
+ Pensionen (Eigen- und Hinterbliebenenpensionen)
= Primäreinkommen brutto
+ Sozialtransfers
= Brutto-Einkommen
- Steuern und Sozialabgaben
= Netto-Einkommen
+/- regelmäßige Privattransfers ( Alimente, Unterhaltszahlungen, …)
= verfügbare Haushaltseinkommen (ohne Mitberücksichtigung von Privatpensionen)
Zu den Sozialtransfers gehören:
- Arbeitslosenunterstützung
- Krankengeld
- Behindertenunterstützung
- ausbildungsbezogenen Zulagen
- Kinderbeihilfe
- Sozialhilfe
- Mietzinsbeihilfen (inkl. Energiezuschüsse für Heizung, Strom, Wasser usw.)
3.1.1 Verfügbares Haushaltseinkommen - Soziodemographische Merkmale
Im Folgenden wird das verfügbare Haushaltseinkommen vor und nach sozialen Transferzahlungen nach soziodemographischen Merkmalen in Tirol und Österreich betrachtet.
| Soziodemographische Merkmale | Verfügbares Haushaltseinkommen in Tirol - Median (in Euro) | ||
|---|---|---|---|
| inkl. soziale Transfers | exkl. soziale Transfers | Anzahl der betroffenen Haushalte | |
| Gesamt | 44.329 | 39.019 | 340.995 |
| 2 Erwachsene, keine Kinder, zumindest 1 Pers. 65+ | 41.815 | 40.591 | 45.849 |
| 2 Erwachsene, keine Kinder, beide < 65 | 53.994 | 52.527 | 52.105 |
| Andere Haushalte ohne Kinder | 79.252 | 74.251 | 26.940 |
| Ein-Eltern-Haushalt, zumindest 1 Kind | (30.277) | (25.066) | (7.308) |
| 2 Erwachsene, 1 Kind | 61.116 | 51.025 | 26.445 |
| 2 Erwachsene, 2 Kinder | 63.751 | 55.503 | 32.575 |
| 2 Erwachsene, mind. 3 Kinder | (76.671) | (65.860) | (14.793) |
| Sonstige Haushalte mit Kindern | (83.293) | (73.196) | (10.256) |
| Alleinlebend < 65 | 27.998 | 26.892 | 74.817 |
| Alleinlebend 65+ | 22.535 | 21.946 | 49.906 |
| Alleinlebend Männer | 28.995 | 27.613 | 57.444 |
| Alleinlebend Frauen | 23.664 | 22.467 | 67.279 |
| Haushalt ohne Kinder | 37.015 | 34.055 | 249.617 |
| Haushalt mit Kindern | 66.782 | 56.242 | 91.378 |
| HH m. Pensionen - Alleinlebende Männer | 24.434 | 24.212 | 14.615 |
| HH m. Pensionen - Alleinlebende Frauen | 21.949 | 21.469 | 31.765 |
| Mehrpersonenhaushalt m. Pensionen | 44.201 | 43.072 | 47.064 |
| HH ohne Pensionen - Alleinlebende Männer | 30.230 | 29.336 | 43.230 |
| HH ohne Pensionen - Alleinlebende Frauen | 25.273 | 24.263 | 35.515 |
| Mehrpersonenhaushalt ohne Pensionen u. ohne Kinder | 58.264 | 56.128 | 79.376 |
| Mehrpersonenhaushalt m. 1 Kind | 68.427 | 57.416 | 33.665 |
| Mehrpersonenhaushalt m. 2 Kindern | 63.811 | 56.432 | 33.019 |
| Mehrpersonenhaushalt m. mind. 3 Kindern | (72.451) | (61.271) | (15.439) |
| HH m. männlichem Hauptverdiener | 51.801 | 46.644 | 230.765 |
| HH m. weiblicher Hauptverdienerin | 28.867 | 25.929 | 110.231 |
- Werte mit Fallzahlen unter 20 Personen werden geklammert. (x): Werte basierend auf zu geringen Fallzahlen werden nicht ausgewiesen.
| Soziodemographische Merkmale | Verfügbares Haushaltseinkommen in Österreich - Median (in Euro) | ||
|---|---|---|---|
| inkl. soziale Transfers | exkl. soziale Transfers | Anzahl der betroffenen Haushalte | |
| Gesamt | 44.597 | 40.018 | 4.109.214 |
| 2 Erwachsene, keine Kinder, zumindest 1 Pers. 65+ | 46.588 | 45.371 | 506.303 |
| 2 Erwachsene, keine Kinder, beide < 65 | 57.163 | 54.284 | 686.034 |
| Andere Haushalte ohne Kinder | 82.173 | 77.460 | 258.735 |
| Ein-Eltern-Haushalt, zumindest 1 Kind | 35.479 | 25.487 | 106.381 |
| 2 Erwachsene, 1 Kind | 60.491 | 52.796 | 361.722 |
| 2 Erwachsene, 2 Kinder | 67.508 | 58.572 | 338.414 |
| 2 Erwachsene, mind. 3 Kinder | 61.862 | 49.267 | 151.156 |
| Sonstige Haushalte mit Kindern | 84.387 | 78.546 | 130.168 |
| Alleinlebend < 65 | 27.108 | 25.694 | 1.002.049 |
| Alleinlebend 65+ | 24.859 | 24.202 | 568.252 |
| Alleinlebend Männer | 27.990 | 26.647 | 724.329 |
| Alleinlebend Frauen | 24.826 | 23.715 | 845.972 |
| Haushalt ohne Kinder | 37.598 | 35.418 | 3.021.373 |
| Haushalt mit Kindern | 63.122 | 53.625 | 1.087.841 |
| HH m. Pensionen - Alleinlebende Männer | 27.076 | 26.716 | 173.509 |
| HH m. Pensionen - Alleinlebende Frauen | 23.957 | 23.323 | 357.018 |
| Mehrpersonenhaushalt m. Pensionen | 48.095 | 46.995 | 542.645 |
| HH ohne Pensionen - Alleinlebende Männer | 28.295 | 26.640 | 551.221 |
| HH ohne Pensionen - Alleinlebende Frauen | 25.654 | 24.279 | 488.954 |
| Mehrpersonenhaushalt ohne Pensionen u. ohne Kinder | 62.323 | 59.258 | 942.764 |
| Mehrpersonenhaushalt m. 1 Kind | 65.051 | 57.339 | 428.287 |
| Mehrpersonenhaushalt m. 2 Kindern | 68.832 | 59.504 | 366.604 |
| Mehrpersonenhaushalt m. mind. 3 Kindern | 62.908 | 49.046 | 157.808 |
| HH m. männlichem Hauptverdiener | 51.743 | 46.726 | 2.564.347 |
| HH m. weiblicher Hauptverdienerin | 33.186 | 29.603 | 1.544.867 |
- Werte mit Fallzahlen unter 20 Personen werden geklammert. (x): Werte basierend auf zu geringen Fallzahlen werden nicht ausgewiesen.
3.1.2 Verfügbares Haushaltseinkommen - Verteilung und Bundesländervergleich
Ein weiterer interessanter Aspekt der Haushaltseinkommen ist deren Verteilung. Ein Maß zur Messung der Konzentration der Einkommen ist die sogenannte S80/S20 Quote. Diese Quote setzt das obere Quintil der Verteilung mit dem unteren Quintil in Relation und gibt Auskunft darüber, um wie viel Mal höher die Summe der Einkommen jener 20% der Bevölkerung mit dem höchsten Einkommen gegenüber jenen 20% mit dem geringsten Einkommen ist. Ein weiterer Parameter der zu einer Aussage über die Verteilung des Einkommens herangezogen werden kann ist der GINI- Index (= GINI- Koeffizient ausgedrückt in Prozent). Der GINI- Index ist ein statistisches Maß für die Ungleichheit und kann Werte zwischen Null und Hundert annehmen (GINI- Koeffizient, Werte zwischen Null und Eins), wobei Null eine perfekte Gleichverteilung bedeutet, während er im Extremfall einer maximalen Ungleichverteilung (bspw. ein Haushalt würde das gesammte Einkommen erhalten) den Wert Hundert annimmt.
Abbildung 2: Verteilung des verfügbaren Einkommens vor sozialen Transfers
- Die Whiskergrenzen geben bei diesem Boxplot das 10. bzw. 90 Perzentil an.
| ...% der Haushalte im Bundesland verfügen über weniger als ... Euro | Verfügbares Haushaltseinkommen vor sozialen Transfers | |||||||||
|---|---|---|---|---|---|---|---|---|---|---|
| Burgenland | Salzburg | Vorarlberg | Kärnten | Tirol | Oberösterreich | Niederösterreich | Steiermark | Wien | Österreich | |
| 10% | 17.719 | 16.430 | 8.689 | 12.176 | 13.217 | 15.188 | 16.415 | 12.265 | 3.799 | 11.954 |
| 25% | 26.788 | 26.199 | 22.879 | 22.831 | 24.575 | 27.125 | 26.307 | 23.710 | 18.950 | 23.973 |
| 50% | 45.347 | 42.391 | 42.445 | 38.864 | 39.019 | 42.764 | 43.134 | 39.521 | 34.138 | 40.018 |
| 75% | 68.477 | 61.715 | 64.476 | 58.482 | 61.724 | 65.206 | 67.392 | 63.168 | 57.461 | 62.789 |
| 90% | 103.986 | 90.827 | 88.211 | 87.216 | 87.832 | 89.571 | 91.670 | 93.155 | 83.855 | 89.065 |
| Gini-Index | 36,2 | 37,1 | 37,6 | 38,1 | 36,6 | 36,8 | 37,7 | 40,5 | 44,2 | 39,4 |
| S80S20-Verhältnis | 7,2 | 7,4 | 11,4 | 9,1 | 8,1 | 7,8 | 8,0 | 10,4 | 19,4 | 10,1 |
Abbildung 3: Verteilung des verfügbaren Einkommens nach sozialen Transfers
- Die Whiskergrenzen geben bei diesem Boxplot das 10. bzw. 90 Perzentil an.
| ...% der Haushalte im Bundesland verfügen über weniger als ... Euro | Verfügbares Haushaltseinkommen nach sozialen Transfers | |||||||||
|---|---|---|---|---|---|---|---|---|---|---|
| Burgenland | Salzburg | Vorarlberg | Kärnten | Tirol | Oberösterreich | Niederösterreich | Steiermark | Wien | Österreich | |
| 10% | 20.067 | 19.416 | 16.486 | 17.584 | 16.938 | 19.675 | 19.848 | 16.894 | 15.023 | 17.625 |
| 25% | 30.491 | 29.078 | 27.036 | 25.705 | 26.638 | 29.678 | 29.509 | 26.661 | 24.125 | 27.175 |
| 50% | 48.290 | 46.533 | 46.404 | 44.327 | 44.329 | 48.062 | 47.909 | 44.399 | 39.288 | 44.597 |
| 75% | 75.941 | 67.321 | 69.514 | 64.723 | 67.889 | 69.555 | 72.002 | 68.146 | 61.901 | 67.430 |
| 90% | 107.495 | 93.983 | 93.851 | 93.266 | 91.411 | 93.668 | 95.961 | 96.979 | 87.584 | 93.783 |
| Gini-Index | 34,0 | 34,6 | 33,6 | 34,8 | 34,0 | 33,8 | 34,8 | 36,9 | 37,4 | 35,5 |
| S80S20-Verhältnis | 5,9 | 6,0 | 6,3 | 6,4 | 6,3 | 5,9 | 6,2 | 7,1 | 7,3 | 6,6 |
3.1.3 Verfügbares Haushaltseinkommen - Zeitliche Entwicklung
In Grafik 4 ist die zeitliche Entwicklung des verfügbaren Haushaltseinkommens inklusive Transferzahlungen für Tirol und Österreich abgebildet. Die hellblauen bzw. hellroten Flächen stellen die jeweiligen 95%- Konfidenzintervalle dar. Die Grenzen des Konfidenzintervalls werden durch die entsprechenden Quantile (2,5%- und 97,5%-Quantil) der Bootstrap-Verteilung bestimmt.
Abbildung 4: Entwicklung des verfügbaren Einkommens inkl. sozialer Transfers
| Periode | Verfügbares Einkommen (inkl. sozialer Transfers) in Euro | |
|---|---|---|
| in Tirol | in Österreich | |
| 2010 - 2012 | 34.228 | 31.925 |
| 2011 - 2013 | 34.464 | 32.492 |
| 2012 - 2014 | 35.576 | 33.570 |
| 2013 - 2015 | 35.595 | 34.134 |
| 2014 - 2016 | 36.098 | 34.694 |
| 2015 - 2017 | 36.857 | 35.333 |
| 2016 - 2018 | 37.502 | 35.929 |
| 2017 - 2019 | 38.053 | 36.977 |
| 2018 - 2020 | 38.208 | 37.976 |
| 2019 - 2021 | 39.496 | 39.198 |
| 2020 - 2022 | 40.230 | 39.949 |
| 2021 - 2023 | 41.821 | 41.826 |
| 2022 - 2024 | 44.329 | 44.597 |
3.2 Äquivalenzeinkommen
Wie bereits erörtert, versteht man unter dem verfügbaren Haushaltseinkommen die Summe aller Primäreinkommen, das sind Einkommen aus unselbständiger und selbständiger Erwerbstätigkeit sowie Einnahmen aus Kapitalbesitz der im Haushalt lebenden Personen, zuzüglich aller empfangenen Transferleistungen (z.B. Arbeitslosengeld, Kindergeld, Karenzgeld, Renten infolge Krankheit/Unfall/Invalidität,…), abzüglich Steuern und Sozialleistungen.
Das Äquivalenzeinkommen (oder auch äquivalisiertes Haushaltseinkommen) geht zwar vom verfügbaren Einkommen aus, setzt dieses Einkommen aber mit festgelegten Gewichtungsfaktoren in Relation zu Anzahl und Alter der im Haushalt lebenden Personen.
3.2.1 Bestimmung des Lebensstandards durch das Äquivalenzeinkommen
EU-SILC gewährt vor allem Einblicke in die Einkommenssituation der befragten Haushalte und Personen. Doch erst eine Gegenüberstellung des jeweiligen Bedarfs eines Haushaltes und dessen verfügbarer Ressourcen gibt näherungsweise Auskunft über den Lebensstandard der Haushaltsmitglieder. Es gibt verschiedene statistische Methoden, den bedarfsgewichteten Ressourcenzugang bzw. das äquivalisierte Haushaltseinkommen zu bestimmen. Die üblichen Analysen gehen dabei von der Annahme aus, dass alle Personen, die in einem gemeinsamen Haushalt leben, in selber Weise am gesamten verfügbaren Einkommen partizipieren und dieses Einkommen somit den individuellen Ressourcenzugang definiert.
Der tatsächliche Ressourcenbedarf ist empirisch schwer feststellbar. Konsumausgaben hängen sehr stark von persönlichen Präferenzen ab und gehen meist über den Mindestbedarf hinaus. In Publikationen und Studien zu diesem Thema wird der Ressourcenbedarf fast immer über konventionell festgelegte Bedarfsgewichte (Äquivalenzskalen) festgelegt. Dabei wird davon ausgegangen, dass größere Haushalte weniger Einkommen benötigen als mehrere Einpersonenhaushalte. Die Gewichtungsfaktoren unterscheiden sich teilweise, abhängig vom angenommenen Einsparungspotential (Elastizität). In dieser Arbeit wird die so genannte EU-Skala angewendet, die im Folgenden kurz erläutert wird.
Eine allein lebende, erwachsene Person erhält den Wert 1, der als Referenzpunkt (Konsumäquivalente) gilt. Dieser setzt sich zusammen aus dem Fixbedarf für den Haushalt (Gewicht: 0,5) und dem Fixbedarf für die erste Person (Gewicht: 0,5). Der unterstellte Ressourcenbedarf steigt mit jedem weiteren Erwachsenen um eine halbe Konsumäquivalente und jedes weitere Kind unter 14 Jahren wird mit 0,3 Konsumäquivalenten gewichtet. Zur Verdeutlichung der Berechnung des Einkommensbedarfes sind in Tabelle 5 einige Berechnungsbeispiele dargestellt. Das Äquivalenzeinkommen ergibt sich somit durch Division des verfügbaren Haushaltseinkommens durch die jeweilige Konsumäquivalente des Haushaltes.
| Fixbedarf des Haushaltes | Bedarf für Erwachsene | Bedarf für Kinder | Gesamtbedarf | |
|---|---|---|---|---|
| Einpersonenhaushalt | 0,5 | 0,5 | - | 1,0 |
| Ein-Elternhaushalt mit 2 Kindern | 0,5 | 0,5 | 0,6 | 1,6 |
| Familie mit 1 Kind | 0,5 | 1,0 | 0,3 | 1,8 |
3.2.2 Mittleres äquivalisiertes Haushaltseinkommen pro Jahr in Tirol: 29.895 Euro
Im Untersuchungszeitraum liegt der Median des äquivalisierten Einkommens in Tirol bei 29.895 Euro jährlich. D.h. 50% der Haushalte verdienen mehr, 50% verdienen weniger als 29.895 Euro. Das mediane Äquivalenzeinkommen in Österreich beträgt € 30.832. Das äquivalisierte Einkommen liegt in Tirol um knapp -3,1 % unter dem Österreichschnitt und ist im Prinzip als Ressource zu verstehen, welche jeder in einem Haushalt lebenden Person jährlich für Ausgaben und Sparen zur Verfügung steht. Leben beispielsweise ein Mann und eine Frau in diesem Haushalt, so steht diese Ressource rechnerisch beiden gleichermaßen zu. Geschlechtsunterschiede im äquivalisierten Haushaltseinkommen treten somit definitionsgemäß nur deswegen auf, weil Männerhaushalte im Schnitt ein etwas höheres Einkommen erzielen als Frauenhaushalte, egal ob es sich um Einpersonenhaushalte oder Wohngemeinschaften handelt.
Insgesamt ergibt sich bei geschlechterweiser Betrachtung ein jährliches Äquivalenzeinkommen von 30.530 Euro für die Männer und von 28.932 Euro für die Frauen. Der Unterschied ist statistisch allerdings nicht signifikant. Der Median des äquivalisierten Haushaltseinkommens liegt bei Personen, deren Geburtsland nicht Österreich ist, um knapp 6.461 Euro netto jährlich niedriger. Das niedrigste Nettohaushaltseinkommen erzielt die Gruppe der Ein-Elternhaushalte mit mind. ein Kind. Das mediane äquivalisierte Einkommen liegt mit rund 18.718 Euro im Jahr etwa 11.177 Euro unterhalb des Durchschnitteinkommens. Erwerbstätigkeit erhöht die Wahrscheinlichkeit auf ein überdurchschnittliches Einkommen deutlich. Im Gegensatz zu Personen ohne Erwerbstätigkeit, erzielen erwerbstätige Personen ein um 5.250 Euro höheres äquivalisiertes Haushaltseinkommen. Tabelle 7 und 8 fasst die Ergebnisse für Tirol und Österreich zusammen.
| Soziodemographische Merkmale | Äquivalisiertes Haushaltseinkommen in Tirol - Median (in Euro) | ||
|---|---|---|---|
| nach sozialen Transfers | vor sozialen Transfers | Anzahl der betroffenen Personen | |
| Gesamt | 29.895 | 26.891 | 759.317 |
| Frauen | 28.932 | 25.944 | 376.535 |
| Männer | 30.530 | 27.818 | 382.783 |
| Geburtsland nicht Österreich | 25.423 | 21.738 | 195.361 |
| Geburtsland Österreich | 31.883 | 29.280 | 477.802 |
| ledig | 30.931 | 28.260 | 212.310 |
| verheiratet, eingetragene Partnerschaft | 31.471 | 28.655 | 332.469 |
| verwitwet | 26.141 | 25.245 | 34.028 |
| geschieden | 27.404 | 25.681 | 53.439 |
| jünger 15 Jahre | 26.609 | 22.444 | 116.739 |
| jünger 20 Jahre | 28.105 | 24.278 | 169.372 |
| älter 14 und jünger 65 Jahre | 31.891 | 28.950 | 503.825 |
| älter 17 und jünger 65 Jahre | 32.092 | 29.106 | 470.630 |
| älter 65 Jahre | 25.812 | 24.972 | 129.002 |
| erwerbstätig | 33.616 | 31.156 | 340.997 |
| nicht erwerbstätig | 28.366 | 24.116 | 76.493 |
| Pensionisten | 25.444 | 23.865 | 118.963 |
| Einpersonenhaushalt | 25.758 | 24.800 | 125.124 |
| 2 Erwachsene, keine Kinder, zumindest 1 Pers. 65+ | 27.876 | 27.061 | 91.698 |
| 2 Erwachsene, keine Kinder, beide < 65 | 35.996 | 35.018 | 104.210 |
| Andere Haushalte ohne Kinder | 39.032 | 37.036 | 85.390 |
| Ein-Eltern-Haushalt, zumindest 1 Kind | 18.718 | 14.206 | 18.584 |
| 2 Erwachsene, 1 Kind | 32.311 | 27.862 | 79.336 |
| 2 Erwachsene, 2 Kinder | 29.167 | 24.991 | 130.301 |
| 2 Erwachsene, mind. 3 Kinder | 27.021 | 21.460 | 75.682 |
| Sonstige Haushalte mit Kindern | 25.930 | 20.637 | 49.392 |
| wohnhaft in ... | |||
| dicht besiedelt | 25.786 | 21.973 | 109.727 |
| mittel besiedelt | 31.735 | 28.449 | 329.910 |
| dünn besiedelt | 29.010 | 26.272 | 319.681 |
- Werte mit Fallzahlen unter 20 Personen werden geklammert. (x): Werte basierend auf zu geringen Fallzahlen werden nicht ausgewiesen.
| Soziodemographische Merkmale | Äquivalisiertes Haushaltseinkommen in Österreich - Median (in Euro) | ||
|---|---|---|---|
| nach sozialen Transfers | vor sozialen Transfers | Anzahl der betroffenen Personen | |
| Gesamt | 30.832 | 28.013 | 8.963.855 |
| Frauen | 30.330 | 27.398 | 4.541.125 |
| Männer | 31.488 | 28.617 | 4.422.730 |
| Geburtsland nicht Österreich | 24.704 | 20.927 | 2.152.459 |
| Geburtsland Österreich | 33.657 | 31.183 | 5.857.891 |
| ledig | 31.902 | 29.052 | 2.541.959 |
| verheiratet, eingetragene Partnerschaft | 32.800 | 30.267 | 3.844.684 |
| verwitwet | 27.478 | 26.175 | 479.280 |
| geschieden | 26.247 | 24.105 | 672.262 |
| jünger 15 Jahre | 27.564 | 22.730 | 1.321.392 |
| jünger 20 Jahre | 28.169 | 23.721 | 1.854.619 |
| älter 14 und jünger 65 Jahre | 32.328 | 29.226 | 6.031.440 |
| älter 17 und jünger 65 Jahre | 32.507 | 29.409 | 5.706.615 |
| älter 65 Jahre | 28.778 | 27.891 | 1.491.669 |
| erwerbstätig | 35.207 | 32.793 | 3.863.601 |
| nicht erwerbstätig | 27.098 | 22.530 | 1.031.758 |
| Pensionisten | 30.558 | 29.175 | 1.412.822 |
| Einpersonenhaushalt | 26.139 | 25.013 | 1.570.702 |
| 2 Erwachsene, keine Kinder, zumindest 1 Pers. 65+ | 31.058 | 30.247 | 1.012.607 |
| 2 Erwachsene, keine Kinder, beide < 65 | 38.109 | 36.189 | 1.372.067 |
| Andere Haushalte ohne Kinder | 38.792 | 36.413 | 859.777 |
| Ein-Eltern-Haushalt, zumindest 1 Kind | 20.968 | 14.876 | 275.565 |
| 2 Erwachsene, 1 Kind | 32.605 | 28.238 | 1.085.166 |
| 2 Erwachsene, 2 Kinder | 30.685 | 26.727 | 1.353.654 |
| 2 Erwachsene, mind. 3 Kinder | 24.097 | 18.552 | 791.482 |
| Sonstige Haushalte mit Kindern | 30.500 | 27.769 | 643.235 |
| wohnhaft in ... | |||
| dicht besiedelt | 28.730 | 25.689 | 2.821.084 |
| mittel besiedelt | 31.335 | 28.334 | 2.745.226 |
| dünn besiedelt | 31.665 | 29.045 | 3.397.544 |
- Werte mit Fallzahlen unter 20 Personen werden geklammert. (x): Werte basierend auf zu geringen Fallzahlen werden nicht ausgewiesen.
3.2.3 Äquivalisiertes Haushaltseinkommen - Verteilung und Bundesländervergleich
In den Abbildungen 5 und 6 sowie den Tabellen 9 und 10 sind die äquivalisierten Haushaltseinkommen vor und nach Einrechnung der sozialen Transferzahlungen dargestellt.
Wie man an den Einkommensperzentilen in Tirol erkennen kann, wirken sich die sozialen Transfers auf die unteren Einkommen deutlich stärker aus als auf die höheren Einkommen. Die 10% der Haushalte mit dem niedrigsten Einkommen erhielten rund 44% ihres Durchschnittseinkommens an Transferzahlungen ausbezahlt, bei den 10% der Haushalte mit dem höchsten Einkommen machten die sozialen Transfers nur zirka 4% des Durchschnittseinkommens aus. Diese Tatsache zeigt den positiven Umverteilungseffekt deutlich, denn durch die sozialen Transferzahlungen werden die Haushaltseinkommen etwas gleicher verteilt. Dies zeigen auch die beiden Verteilungsparameter, der Gini- Index und das S80S20- Verhältnis. Letztere zeigt, dass die Summe der äquivalisierten Einkommen jener 20% der Haushalte mit den höchsten Einkommen vor den sozialen Transferzahlungen etwa mal so hoch ist wie jene der 20% der Haushalte mit den niedrigsten Enkommen. Nach Einrechnung der sozialen Transfers reduziert sich dieser Faktor auf 3,7.
Abbildung 5: Verteilung des äquivalisierten Einkommens vor sozialen Transfers
- Die Whiskergrenzen geben bei diesem Boxplot das 10. bzw. 90 Perzentil an.
| ...% der Haushalte im Bundesland verfügen über weniger als ... Euro | Äquivalisiertes Haushaltseinkommen vor sozialen Transfers | |||||||||
|---|---|---|---|---|---|---|---|---|---|---|
| Burgenland | Salzburg | Vorarlberg | Kärnten | Tirol | Oberösterreich | Steiermark | Niederösterreich | Wien | Österreich | |
| 10% | 15.393 | 13.079 | 7.106 | 10.160 | 11.966 | 13.076 | 11.743 | 13.106 | 3.026 | 9.852 |
| 25% | 23.695 | 20.065 | 18.604 | 19.207 | 18.196 | 19.701 | 19.399 | 20.668 | 12.783 | 18.596 |
| 50% | 30.624 | 29.113 | 29.303 | 27.789 | 26.891 | 28.453 | 27.903 | 29.166 | 25.440 | 28.013 |
| 75% | 40.668 | 38.225 | 37.422 | 38.261 | 37.429 | 39.593 | 38.467 | 39.908 | 38.264 | 38.824 |
| 90% | 52.726 | 52.236 | 48.338 | 49.973 | 47.261 | 50.112 | 50.895 | 53.904 | 52.982 | 51.610 |
| Gini-Index | 27,2 | 31,2 | 31,8 | 30,9 | 30,4 | 31,1 | 33,0 | 32,1 | 41,5 | 33,8 |
| S80S20-Verhältnis | 4,1 | 5,3 | 7,3 | 5,8 | 5,3 | 5,2 | 6,1 | 5,8 | 17,2 | 7,1 |
Abbildung 6: Verteilung des äquivalisierten Einkommens nach sozialen Transfers
- Die Whiskergrenzen geben bei diesem Boxplot das 10. bzw. 90 Perzentil an.
| ...% der Haushalte im Bundesland verfügen über weniger als ... Euro | Äquivalisiertes Haushaltseinkommen nach sozialen Transfers | |||||||||
|---|---|---|---|---|---|---|---|---|---|---|
| Burgenland | Salzburg | Vorarlberg | Kärnten | Tirol | Oberösterreich | Steiermark | Niederösterreich | Wien | Österreich | |
| 10% | 20.560 | 18.475 | 13.498 | 16.615 | 17.239 | 17.844 | 16.952 | 17.776 | 12.517 | 16.046 |
| 25% | 26.013 | 23.846 | 23.043 | 22.615 | 22.627 | 23.857 | 23.471 | 24.113 | 18.919 | 22.691 |
| 50% | 33.625 | 31.899 | 31.837 | 30.852 | 29.895 | 31.039 | 31.149 | 31.988 | 28.474 | 30.832 |
| 75% | 43.294 | 40.653 | 39.845 | 40.307 | 39.217 | 41.211 | 40.191 | 41.734 | 40.570 | 40.775 |
| 90% | 54.794 | 54.021 | 50.334 | 51.486 | 49.315 | 51.377 | 52.278 | 55.436 | 54.580 | 53.052 |
| Gini-Index | 23,8 | 26,3 | 26,3 | 25,7 | 25,5 | 26,2 | 27,6 | 27,6 | 32,8 | 28,1 |
| S80S20-Verhältnis | 3,1 | 3,6 | 4,2 | 3,7 | 3,7 | 3,7 | 4,1 | 4,1 | 5,8 | 4,3 |
3.2.4 Äquivalisiertes Haushaltseinkommen - Zeitliche Entwicklung
In Grafik 7 ist die zeitliche Entwicklung des äquivalisierten Haushaltseinkommens inklusive sozialer Transfers für Tirol und Österreich abgebildet. Die hellblauen bzw. hellroten Flächen stellen die jeweiligen 95%- Konfidenzintervalle dar. Die Grenzen des Konfidenzintervalls werden durch die entsprechenden Quantile (2,5%- und 97,5%-Quantil) der Bootstrap-Verteilung bestimmt.
Abbildung 7: Entwicklung des äquivalisierten Einkommens inkl. sozialer Transfers
| Periode | Äquivalisiertes Einkommen (inkl. sozialer Transfers) in Euro | |
|---|---|---|
| in Tirol | in Österreich | |
| 2010 - 2012 | 21.213 | 21.443 |
| 2011 - 2013 | 21.469 | 21.781 |
| 2012 - 2014 | 21.921 | 22.364 |
| 2013 - 2015 | 22.031 | 22.848 |
| 2014 - 2016 | 22.076 | 23.388 |
| 2015 - 2017 | 22.717 | 23.902 |
| 2016 - 2018 | 23.582 | 24.540 |
| 2017 - 2019 | 24.797 | 25.219 |
| 2018 - 2020 | 25.348 | 25.820 |
| 2019 - 2021 | 25.696 | 26.571 |
| 2020 - 2022 | 25.875 | 27.276 |
| 2021 - 2023 | 27.284 | 28.905 |
| 2022 - 2024 | 29.895 | 30.832 |
3.2.5 Äquivalisiertes Haushaltseinkommen - Entwicklung der Einkommensperzentile
Die Einkommensperzentile zeigen das mittlere Einkommen verschiedener ausgewählter Einkommensgruppen. Das Perzentil P10 repräsentiert beispielsweise die Summe der Einkommen, die von den zehn Prozent der Bevölkerung mit dem niedrigsten Einkommen erzielt wird, P90 respektive jene Summe der zehn Prozent mit dem höchsten Einkommen.
In Abbildung 8 ist die Entwicklung der Perzentile für Tirol dargestelt. Es zeigt sich, dass in Tirol in den letzten Jahren die niedrigeren Einkommen stärker gestiegen sind als die höheren Einkommen. Vor allem die niedrigsten Einkommen, repräsentiert durch das Perzentil P10, sind in den letzten Jahren deutlich stärker gestiegen als das Perzentil P90, das für die höchsten Einkommen steht. Längerfristig würde diese Entwicklung zu einer gerechteren Einkommensverteilung führen.
Auf Bundesebene konnte kein stärkeres Wachstum der niedrigsten Einkommen festgestellt werden. Die Einkommen jener 10% der Bevölkerung mit dem niedrigsten Einkommen stiegen in den letzten Jahren etwa gleich stark wie die Einkommen jener 25% der Bevölkerung mit dem höchsten Einkommen, wie aus Abbildung 9 ersichtlich.
Abbildung 8: Entwicklung der Einkommensperzentile des äquivalisierten Haushaltseinkommens in Tirol
| Periode | Index der Einkommensperzentile, Periode 2010-2012 = 100, in Tirol | ||||
|---|---|---|---|---|---|
| Perzentil 10 | Perzentil 25 | Perzentil 50 | Perzentil 75 | Perzentil 90 | |
| 2010 - 2012 | 100,0 | 100,0 | 100,0 | 100,0 | 100,0 |
| 2011 - 2013 | 101,3 | 103,2 | 101,2 | 102,9 | 99,9 |
| 2012 - 2014 | 107,4 | 107,9 | 103,3 | 104,2 | 101,6 |
| 2013 - 2015 | 104,5 | 109,4 | 103,9 | 103,8 | 102,1 |
| 2014 - 2016 | 107,4 | 109,5 | 104,1 | 101,2 | 103,4 |
| 2015 - 2017 | 105,8 | 111,2 | 107,1 | 101,8 | 102,7 |
| 2016 - 2018 | 113,5 | 115,5 | 111,2 | 105,4 | 104,6 |
| 2017 - 2019 | 120,0 | 119,5 | 116,9 | 111,2 | 108,1 |
| 2018 - 2020 | 124,1 | 121,1 | 119,5 | 114,3 | 110,6 |
| 2019 - 2021 | 125,4 | 123,7 | 121,1 | 115,5 | 110,3 |
| 2020 - 2022 | 126,1 | 124,9 | 122,0 | 118,2 | 112,4 |
| 2021 - 2023 | 136,9 | 135,2 | 128,6 | 125,6 | 117,9 |
| 2022 - 2024 | 150,6 | 146,3 | 140,9 | 135,9 | 127,7 |
Abbildung 9: Entwicklung der Einkommensperzentile des äquivalisierten Haushaltseinkommens in Österreich
| Periode | Index der Einkommensperzentile, Periode 2010-2012 = 100, in Österreich | ||||
|---|---|---|---|---|---|
| Perzentil 10 | Perzentil 25 | Perzentil 50 | Perzentil 75 | Perzentil 90 | |
| 2010 - 2012 | 100,0 | 100,0 | 100,0 | 100,0 | 100,0 |
| 2011 - 2013 | 102,1 | 101,9 | 101,6 | 101,7 | 101,1 |
| 2012 - 2014 | 105,1 | 105,1 | 104,3 | 104,1 | 104,2 |
| 2013 - 2015 | 107,3 | 107,3 | 106,6 | 106,1 | 104,9 |
| 2014 - 2016 | 110,6 | 109,2 | 109,1 | 108,4 | 106,3 |
| 2015 - 2017 | 112,8 | 111,4 | 111,5 | 111,1 | 108,1 |
| 2016 - 2018 | 115,5 | 114,3 | 114,4 | 113,8 | 111,7 |
| 2017 - 2019 | 118,1 | 118,0 | 117,6 | 117,1 | 115,3 |
| 2018 - 2020 | 120,4 | 121,4 | 120,4 | 120,0 | 118,5 |
| 2019 - 2021 | 122,9 | 125,3 | 123,9 | 123,1 | 121,3 |
| 2020 - 2022 | 124,8 | 128,0 | 127,2 | 126,5 | 124,2 |
| 2021 - 2023 | 132,7 | 135,1 | 134,8 | 132,8 | 129,6 |
| 2022 - 2024 | 141,8 | 144,2 | 143,8 | 141,9 | 138,2 |
3.2.6 Äquivalisierte soziale Transferzahlungen an die Haushalte - Verteilung
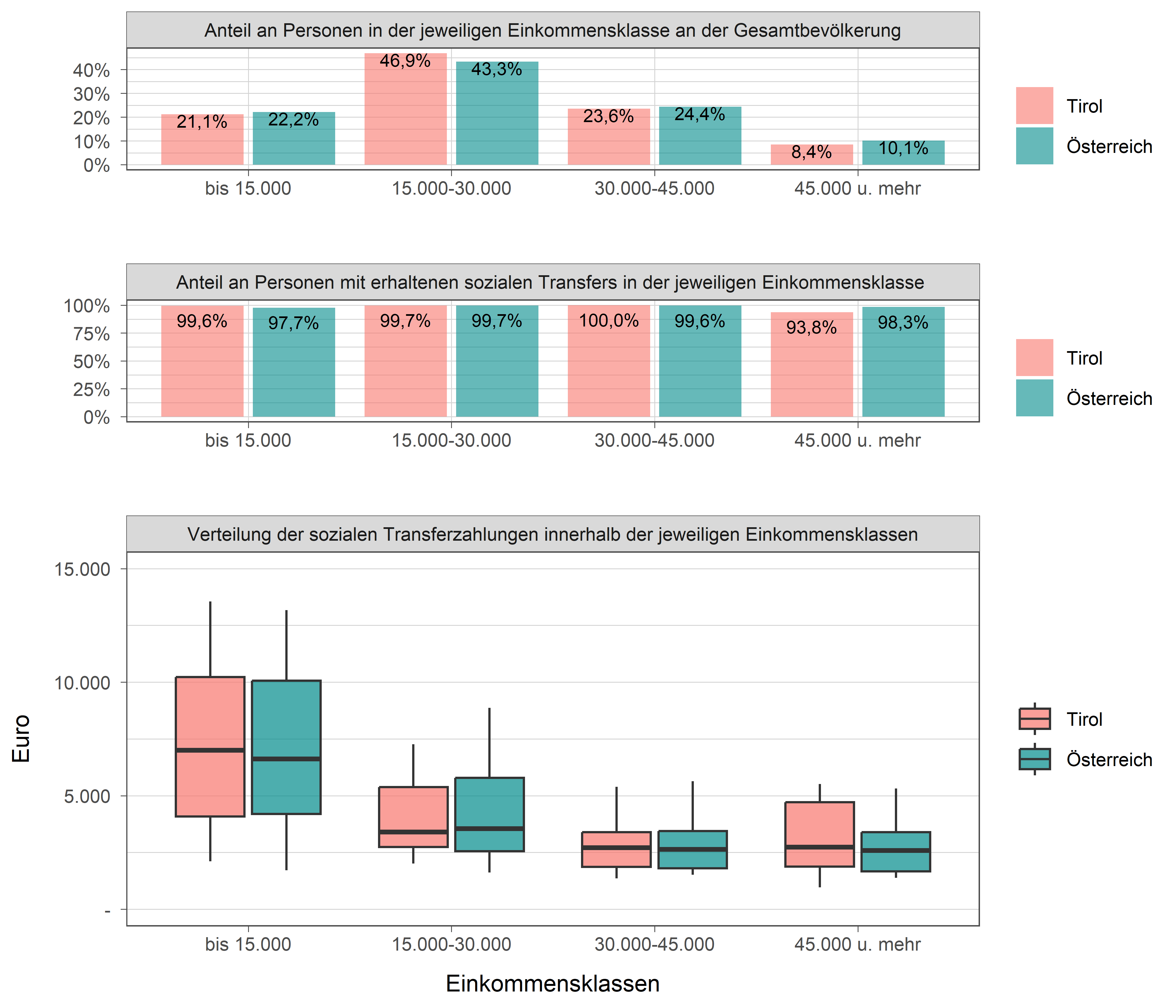
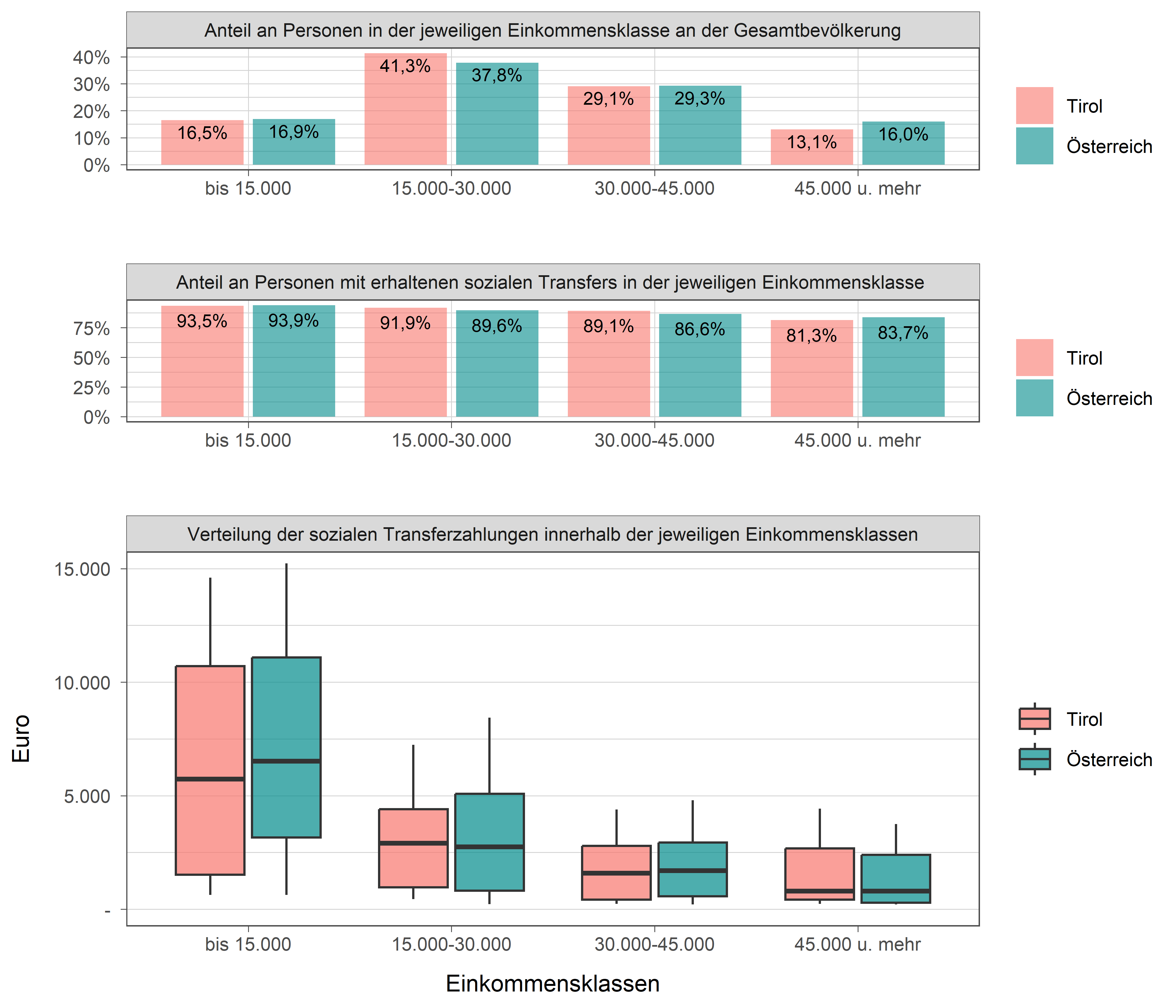
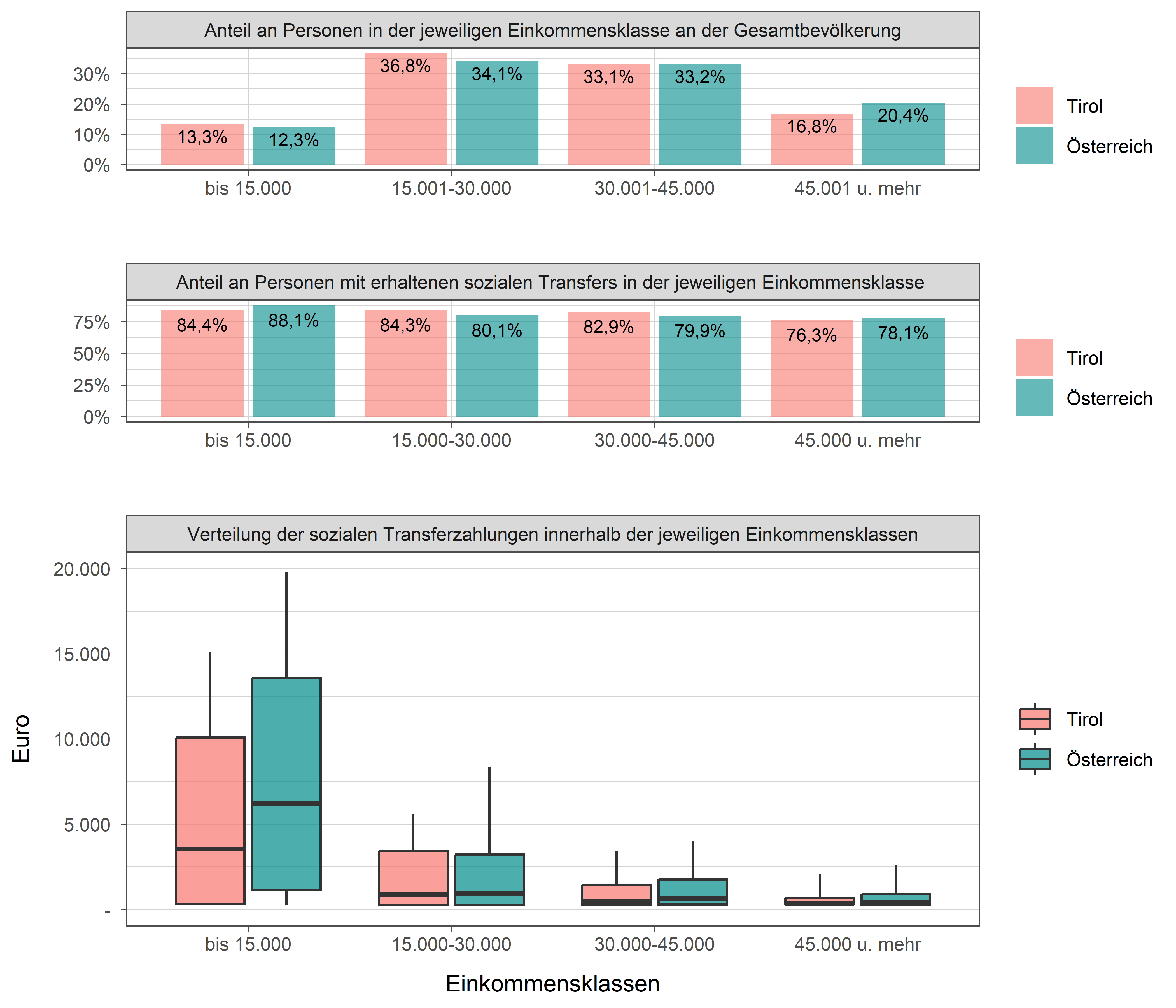
Im folgenden werden die sozialen Transferzahlungen, die sich aus der Differenz des äquivalisierten Einkommens nach Transferzahlungen und dem äquivalisierten Einkommen vor sozialen Transfers errechnen, näher betrachtet. Dies passiert getrennt nach den Haushalten insgesamt, den Haushalten mit und ohne Kindern, um einen Eindruck über den Einfluss der Familienbeihilfe, die einen Teil der sozialen Transferzahlungen darstellt, zu bekommen.
Die folgenden Abbildungen bestehen jeweils aus drei Grafiken, wobei die erste Grafik den Anteil der Personen in der jeweiligen Einkommensklasse an der Gesamtbevölkerung darstellt. Die zweite Grafik zeigt an, wieviele Personen in einer Einkommensklasse soziale Transferzahlungen erhalten. Die Boxplot Grafik gibt einen Überblick über die Höhe und Verteilung der sozialen Transferzahlungen in den jeweiligen Einkommensklassen. Bei den Einkommensklassen handelt es sich um das äquivalisierte Haushaltseinkommen, also jenes Einkommen, das jedem einzelnen Mitglied des Haushaltes jährlich zur Verfügung steht. Analog dazu gilt dieselbe Interpretation auch für die Höhe der sozialen Transferzahlungen.
Erwartungsgemäß nimmt die Höhe der Transferzahlungen mit der Höhe der Einkommen ab. Eine Ausnahme bilden in Tirol Haushalte mit Kindern in der höchsten Einkommensklasse (siehe Abb. 11). Grund dafür dürfte sein, dass diese Haushalte kinderreicher sind und damit mehr Familienbeihilfe, die einkommensunabhängig ausbezahlt wird, erhalten.
Interessanterweise liegt die Höhe der sozialen Transfers in Haushalten ohne Kinder in der Einkommensklasse bis 15.000 Euro jährlich in Tirol deutlich unter dem Durchschnitt von Österreich, in den höheren Einkommensklassen jedoch deutlich darüber (siehe Abb. 12) .
Der reziproke Zusammenhang zwischen sozialen Transferzahlungen und dem äquivalisierten Haushaltseinkommen trägt zur Verringerung der Einkommenskonzentration bei und führt somit zu einer gerechteren Verteilung der Einkommen.
Abbildung 10: Verteilung der sozialen Transfers nach Einkommensklassen in Haushalten - insgesamt
- Die Whiskergrenzen geben bei diesem Boxplot das 10. bzw. 90 Perzentil an.
| ...% der Personen erhalten weniger als ... Euro an sozialen Transfers | jährliches äquivalisiertes Einkommen in Euro | |||||||
|---|---|---|---|---|---|---|---|---|
| Tirol | Österreich | |||||||
| bis 15.000 | 15.000-30.000 | 30.000-45.000 | 45.000 u. mehr | bis 15.000 | 15.000-30.000 | 30.000-45.000 | 45.000 u. mehr | |
| 10% | 625 | 450 | 233 | 233 | 627 | 228 | 217 | 217 |
| 25% | 1.524 | 965 | 415 | 419 | 3.157 | 812 | 571 | 290 |
| 50% | 5.732 | 2.916 | 1.586 | 807 | 6.522 | 2.749 | 1.698 | 803 |
| 75% | 10.708 | 4.402 | 2.789 | 2.675 | 11.082 | 5.079 | 2.937 | 2.392 |
| 90% | 14.607 | 7.238 | 4.386 | 4.428 | 15.236 | 8.436 | 4.799 | 3.756 |
Abbildung 11: Verteilung der sozialen Transfers nach Einkommensklassen in Haushalten - Haushalte mit Kindern
- Die Whiskergrenzen geben bei diesem Boxplot das 10. bzw. 90 Perzentil an.
| ...% der Personen erhalten weniger als ... Euro an sozialen Transfers | jährliches äquivalisiertes Einkommen in Euro | |||||||
|---|---|---|---|---|---|---|---|---|
| Tirol | Österreich | |||||||
| bis 15.000 | 15.000-30.000 | 30.000-45.000 | 45.000 u. mehr | bis 15.000 | 15.000-30.000 | 30.000-45.000 | 45.000 u. mehr | |
| 10% | 2.105 | 2.010 | 1.356 | 969 | 1.710 | 1.619 | 1.523 | 1.381 |
| 25% | 4.084 | 2.743 | 1.867 | 1.875 | 4.189 | 2.552 | 1.805 | 1.660 |
| 50% | 7.005 | 3.405 | 2.719 | 2.741 | 6.624 | 3.555 | 2.643 | 2.595 |
| 75% | 10.219 | 5.373 | 3.396 | 4.708 | 10.061 | 5.781 | 3.444 | 3.392 |
| 90% | 13.548 | 7.262 | 5.391 | 5.515 | 13.171 | 8.872 | 5.635 | 5.319 |
Abbildung 12: Verteilung der sozialen Transfers nach Einkommensklassen in Haushalten - Haushalte ohne Kinder
- Die Whiskergrenzen geben bei diesem Boxplot das 10. bzw. 90 Perzentil an.
| ...% der Personen erhalten weniger als ... Euro an sozialen Transfers | jährliches äquivalisiertes Einkommen in Euro | |||||||
|---|---|---|---|---|---|---|---|---|
| Tirol | Österreich | |||||||
| bis 15.000 | 15.000-30.000 | 30.000-45.000 | 45.000 u. mehr | bis 15.000 | 15.000-30.000 | 30.000-45.000 | 45.000 u. mehr | |
| 10% | 228 | 217 | 217 | 228 | 270 | 217 | 217 | 216 |
| 25% | 306 | 233 | 289 | 296 | 1.117 | 233 | 289 | 289 |
| 50% | 3.528 | 889 | 501 | 332 | 6.219 | 916 | 639 | 379 |
| 75% | 10.082 | 3.412 | 1.395 | 647 | 13.579 | 3.203 | 1.743 | 914 |
| 90% | 15.134 | 5.603 | 3.382 | 2.052 | 19.785 | 8.332 | 4.021 | 2.584 |
4 Armutsgefährdung
Armutsgefährdung wird normalerweise über das Einkommen definiert. Internationale Konventionen legen fest, dass Menschen, die weniger als 60% des Median-Äquivalenzeinkommens zur Verfügung haben, als armutsgefährdet gelten. Diese Festlegung der Armutsgefährdungsschwelle ermöglicht vergleichbare Statistiken auf EU-Ebene. Der Anteil jener Personen an der Gesamtzahl der Untersuchungseinheiten, deren Einkommen niedriger als dieser Schwellenwert ist, wird als Armutsgefährdungsquote bezeichnet.
Wichtig: Weder die Armutsgefährdungsquote noch die Armutsgefährdungsschwelle sagen etwas über das Ausmaß an Armut aus, dem die betroffenen Personen ausgeliefert sind.
Kritisch ist anzumerken, dass bei Fokussierung auf einen eindimensionalen Parameter bei der Erfassung eines multidimensionalen Phänomens wie Armut verschiedene Lebenslagen und Bedürfnisse, die Möglichkeiten des Einzelnen mit den vorhandenen Ressourcen zu wirtschaften, sowie Vermögen oder Verschuldung nicht berücksichtigt werden.
Die Armutsgefährdung (nach Sozialleistungen) stellt den ersten Teilbereich der breiter gefassten Armuts- oder Ausgrenzungsgefährdung dar, die von der EU in der Europa 2030-Strategie zur Reduzierung von Armut in Europa festgehalten wurde und in einem späteren Kapitel geauer behandelt wird.
4.1 Die einkommensbezogene Armut - Die „Schwelle“ für einen Einpersonenhaushalt liegt bei € 18.499 pro Jahr
Im Durchschnitt der Jahre 2022 bis 2024 lag der Median des Äquivalenzeinkommens bei 29.895 Euro. Das österreichweite äquivalisierte Medianeinkommen liegt mit € 30.832 jährlich etwas höher als in Tirol. Im Sinne der o.g. 60%- Schwelle errechnet sich daraus eine Armutsgefährdungsschwelle für einen Einpersonenhaushalt von € 18.499 pro Jahr (= € 1.542/Monat) 1. Dieser Wert dient in weiterer Folge auch für das Bundesland Tirol als Referenzwert.
Gemessen am österreichischen Medianeinkommen und im Hinblick auf die gewählte Definition von monetärer Armut sind in Tirol ca. 101.937 Personen (13,4% der Wohnbevölkerung) als armutsgefährdet zu bezeichnen. In Österreich sind im Durchschnitt der Jahre 2022 bis 2024 in Summe 1.313.506 Personen, was einem Anteil von 14,7% der Wohnbevölkerung entspricht, armutsgefährdet. Der Anteil der armutsgefährdeten Personen an der Wohnbevölkerung in Prozent ausgedrückt wird als Armutsgefährdungsquote bezeichnet.
Das mittlere jährliche Einkommen aller armutsgefährdeten Personen in Tirol liegt bei 14.923 Euro. Je niedriger das Einkommen jener Menschen ist, die unterhalb der Armutsgefährdungsschwelle liegen, desto größer wird die so genannte Armutsgefährdungslücke. Das ist die Differenz zwischen dem Durchschnittseinkommen der Armutsgefährdeten und der Armutsgefährdungsschwelle.
Die Armutsgefährdungslücke bietet eine Möglichkeit, das Ausmaß an Armut in Zahlen auszudrücken, denn je größer diese Lücke ist, desto niederer ist das Durchschnittseinkommen aller von Armut betroffenen Personen eines Landes. Die Armutsgefährdungslücke beträgt in den Jahren 2022-2024 in Tirol ca. 19,3%. Mit anderen Worten verfügt die Hälfte der armutsgefährdeten TirolerInnen über ein Äquivalenzeinkommen von weniger als 80,7% der Armutsgefährdungsschwelle.
Im Vergleich mit Österreich weist Tirol eine deutlich niedrigere Armutsgefährdungslücke auf. Die von Armutsgefährdung betroffenen Personen in Tirol erreichen ein etwas höheres medianes Einkommen als im Bundesschnitt.
In den Tabellen 14 bis 17 sind die Armutsgefährdungsquoten, Armutsgefährdungslücken, die medianen Einkommen sowie die betroffenen Personen vor und nach den sozialen Transferzahlungen dargestellt. Dies erlaubt unter anderem eine Abschätzung der Wirkung der staatlichen Transferleistungen auf die monetären Armutsparameter. Die Tabellen und Abbildungen auf Ebene der Bundesländer sowie die der Zeitreihen bilden die Ergebnisse inklusive der sozialen Transferleistungen ab.
| Soziodemografisches Merkmal | Armutsgefährdung | Medianeinkommen | betroffene Personen | |
|---|---|---|---|---|
| Quote | Lücke | |||
| Gesamt | 26,6 | 37,0 | 11.651 | 201.799 |
| Frauen | 28,5 | 32,3 | 12.527 | 107.339 |
| Männer | 24,7 | 38,8 | 11.325 | 94.460 |
| Geburtsland nicht Österreich | 44,1 | 38,1 | 11.450 | 85.845 |
| Geburtsland Österreich | 17,5 | 32,5 | 12.496 | 83.976 |
| ledig | 23,8 | 46,5 | 9.889 | 50.870 |
| verheiratet, eingetragene Partnerschaft | 23,7 | 34,1 | 12.190 | 78.679 |
| verwitwet | (30,9) | (31,5) | (12.681) | (10.530) |
| geschieden | 27,1 | 36,2 | 11.795 | 14.558 |
| jünger 15 Jahre | 38,8 | 38,3 | 11.411 | 45.371 |
| jünger 20 Jahre | 34,7 | 37,6 | 11.538 | 58.844 |
| älter 14 und jünger 65 Jahre | 23,5 | 41,1 | 10.888 | 118.641 |
| älter 17 und jünger 65 Jahre | 23,6 | 44,7 | 10.233 | 111.306 |
| älter 65 Jahre | 27,5 | 24,7 | 13.934 | 35.592 |
| erwerbstätig | 16,8 | 32,3 | 12.529 | 57.340 |
| nicht erwerbstätig | 37,9 | 48,2 | 9.589 | 31.218 |
| Pensionisten | 30,1 | 32,3 | 12.525 | 33.209 |
| Einpersonenhaushalt | 30,5 | 42,3 | 10.677 | 38.207 |
| 2 Erwachsene, keine Kinder, zumindest 1 Pers. 65+ | 23,0 | 29,8 | 12.984 | 21.041 |
| 2 Erwachsene, keine Kinder, beide < 65 | (16,1) | (46,2) | (9.960) | (16.757) |
| Andere Haushalte ohne Kinder | 14,4 | (x) | (x) | 12.554 |
| Ein-Eltern-Haushalt, zumindest 1 Kind | 64,2 | 47,0 | 9.796 | 12.001 |
| 2 Erwachsene, 1 Kind | 23,5 | 17,5 | 15.266 | 19.503 |
| 2 Erwachsene, 2 Kinder | 25,2 | 56,0 | 8.145 | 33.135 |
| 2 Erwachsene, mind. 3 Kinder | 35,0 | 45,8 | 10.023 | 26.854 |
| Sonstige Haushalte mit Kindern | 45,2 | (x) | (x) | 22.148 |
| wohnhaft in ... | ||||
| dicht besiedelt | 42,8 | 30,5 | 12.854 | 46.837 |
| mittel besiedelt | 23,7 | 43,7 | 10.418 | 78.163 |
| dünn besiedelt | 24,1 | 31,2 | 12.723 | 76.800 |
- Werte mit Fallzahlen unter 20 Personen werden geklammert. (x): Werte basierend auf zu geringen Fallzahlen werden nicht ausgewiesen
| Soziodemografisches Merkmal | Armutsgefährdung | Medianeinkommen | betroffene Personen | |
|---|---|---|---|---|
| Quote | Lücke | |||
| Gesamt | 13,4 | 19,3 | 14.923 | 101.937 |
| Frauen | 15,0 | 19,9 | 14.824 | 56.618 |
| Männer | 11,8 | 22,0 | 14.423 | 45.318 |
| Geburtsland nicht Österreich | 24,3 | 22,8 | 14.274 | 46.854 |
| Geburtsland Österreich | 9,6 | 16,8 | 15.393 | 46.042 |
| ledig | 13,5 | 25,8 | 13.721 | 28.803 |
| verheiratet, eingetragene Partnerschaft | 11,3 | 19,8 | 14.833 | 37.691 |
| verwitwet | (23,7) | (29,3) | (13.083) | (8.016) |
| geschieden | (20,5) | (18,4) | (15.087) | (10.990) |
| jünger 15 Jahre | 13,6 | 6,7 | 17.259 | 15.709 |
| jünger 20 Jahre | 12,5 | 10,8 | 16.506 | 21.114 |
| älter 14 und jünger 65 Jahre | 10,4 | 22,8 | 14.282 | 52.700 |
| älter 17 und jünger 65 Jahre | 10,4 | 23,8 | 14.088 | 49.176 |
| älter 65 Jahre | 24,5 | 20,7 | 14.663 | 31.625 |
| erwerbstätig | 7,7 | 18,0 | 15.172 | 26.484 |
| nicht erwerbstätig | (15,9) | (25,2) | (13.840) | (13.331) |
| Pensionisten | 26,0 | 29,2 | 13.095 | 26.000 |
| Einpersonenhaushalt | 25,1 | 23,6 | 14.127 | 31.439 |
| 2 Erwachsene, keine Kinder, zumindest 1 Pers. 65+ | 20,3 | 26,3 | 13.630 | 18.592 |
| 2 Erwachsene, keine Kinder, beide < 65 | (9,5) | (19,3) | (14.922) | (9.829) |
| Andere Haushalte ohne Kinder | (x) | (x) | (x) | (x) |
| Ein-Eltern-Haushalt, zumindest 1 Kind | (51,7) | (16,3) | (15.484) | (9.719) |
| 2 Erwachsene, 1 Kind | (8,9) | (11,0) | (16.467) | (7.156) |
| 2 Erwachsene, 2 Kinder | (6,8) | (42,2) | (10.690) | (9.026) |
| 2 Erwachsene, mind. 3 Kinder | 8,2 | 9,9 | 16.677 | 6.277 |
| Sonstige Haushalte mit Kindern | (x) | (x) | (x) | (x) |
| wohnhaft in ... | ||||
| dicht besiedelt | (19,9) | (18,9) | (15.009) | (21.957) |
| mittel besiedelt | 11,8 | 17,7 | 15.221 | 39.062 |
| dünn besiedelt | 12,8 | 25,3 | 13.815 | 40.918 |
- Werte mit Fallzahlen unter 20 Personen werden geklammert. (x): Werte basierend auf zu geringen Fallzahlen werden nicht ausgewiesen
| Soziodemografisches Merkmal | Armutsgefährdung | Medianeinkommen | betroffene Personen | |
|---|---|---|---|---|
| Quote | Lücke | |||
| Gesamt | 24,7 | 53,5 | 8.611 | 2.211.600 |
| Frauen | 25,4 | 47,8 | 9.663 | 1.151.497 |
| Männer | 24,0 | 58,1 | 7.748 | 1.060.102 |
| Geburtsland nicht Österreich | 42,8 | 58,4 | 7.701 | 918.180 |
| Geburtsland Österreich | 16,4 | 39,7 | 11.158 | 959.136 |
| ledig | 24,5 | 60,2 | 7.370 | 623.821 |
| verheiratet, eingetragene Partnerschaft | 19,2 | 50,0 | 9.246 | 736.661 |
| verwitwet | 23,3 | 26,0 | 13.695 | 111.489 |
| geschieden | 34,8 | 41,7 | 10.792 | 234.101 |
| jünger 15 Jahre | 35,9 | 60,8 | 7.246 | 474.980 |
| jünger 20 Jahre | 34,2 | 62,3 | 6.967 | 633.692 |
| älter 14 und jünger 65 Jahre | 23,6 | 58,0 | 7.764 | 1.425.331 |
| älter 17 und jünger 65 Jahre | 23,2 | 57,7 | 7.822 | 1.325.523 |
| älter 65 Jahre | 19,4 | 23,9 | 14.076 | 290.000 |
| erwerbstätig | 13,7 | 45,0 | 10.181 | 532.170 |
| nicht erwerbstätig | 40,4 | 69,2 | 5.707 | 414.864 |
| Pensionisten | 21,3 | 31,4 | 12.684 | 311.345 |
| Einpersonenhaushalt | 31,9 | 43,6 | 10.429 | 501.109 |
| 2 Erwachsene, keine Kinder, zumindest 1 Pers. 65+ | 14,7 | 28,5 | 13.227 | 149.079 |
| 2 Erwachsene, keine Kinder, beide < 65 | 14,5 | 39,1 | 11.269 | 199.109 |
| Andere Haushalte ohne Kinder | 10,0 | 45,6 | 10.072 | 86.825 |
| Ein-Eltern-Haushalt, zumindest 1 Kind | 60,3 | 64,9 | 6.493 | 165.927 |
| 2 Erwachsene, 1 Kind | 21,0 | 53,2 | 8.649 | 227.237 |
| 2 Erwachsene, 2 Kinder | 23,9 | 55,5 | 8.227 | 324.269 |
| 2 Erwachsene, mind. 3 Kinder | 48,5 | 61,0 | 7.213 | 383.726 |
| Sonstige Haushalte mit Kindern | 27,2 | 59,9 | 7.410 | 174.720 |
| wohnhaft in ... | ||||
| dicht besiedelt | 34,1 | 62,4 | 6.950 | 961.710 |
| mittel besiedelt | 23,3 | 44,7 | 10.232 | 639.503 |
| dünn besiedelt | 18,0 | 39,6 | 11.168 | 610.386 |
- Werte mit Fallzahlen unter 20 Personen werden geklammert. (x): Werte basierend auf zu geringen Fallzahlen werden nicht ausgewiesen.
| Soziodemografisches Merkmal | Armutsgefährdung | Medianeinkommen | betroffene Personen | |
|---|---|---|---|---|
| Quote | Lücke | |||
| Gesamt | 14,7 | 22,0 | 14.432 | 1.313.506 |
| Frauen | 15,5 | 20,7 | 14.669 | 704.262 |
| Männer | 13,8 | 23,3 | 14.183 | 609.244 |
| Geburtsland nicht Österreich | 27,8 | 26,4 | 13.607 | 585.505 |
| Geburtsland Österreich | 9,4 | 19,7 | 14.846 | 549.152 |
| ledig | 15,3 | 24,2 | 14.017 | 389.507 |
| verheiratet, eingetragene Partnerschaft | 10,6 | 22,3 | 14.366 | 407.592 |
| verwitwet | 17,4 | 20,2 | 14.770 | 83.503 |
| geschieden | 24,5 | 19,3 | 14.927 | 165.035 |
| jünger 15 Jahre | 18,8 | 21,6 | 14.501 | 247.928 |
| jünger 20 Jahre | 18,8 | 22,6 | 14.322 | 348.457 |
| älter 14 und jünger 65 Jahre | 13,4 | 23,2 | 14.206 | 806.580 |
| älter 17 und jünger 65 Jahre | 13,0 | 22,6 | 14.325 | 742.684 |
| älter 65 Jahre | 16,2 | 19,8 | 14.844 | 242.226 |
| erwerbstätig | 7,5 | 22,5 | 14.334 | 292.585 |
| nicht erwerbstätig | 22,8 | 23,5 | 14.154 | 232.443 |
| Pensionisten | 15,0 | 24,3 | 14.008 | 225.210 |
| Einpersonenhaushalt | 24,6 | 22,0 | 14.431 | 386.013 |
| 2 Erwachsene, keine Kinder, zumindest 1 Pers. 65+ | 11,6 | 21,2 | 14.577 | 117.819 |
| 2 Erwachsene, keine Kinder, beide < 65 | 7,7 | 25,6 | 13.759 | 105.478 |
| Andere Haushalte ohne Kinder | 3,5 | 29,6 | 13.029 | 30.704 |
| Ein-Eltern-Haushalt, zumindest 1 Kind | 36,9 | 23,6 | 14.140 | 101.568 |
| 2 Erwachsene, 1 Kind | 9,1 | 26,1 | 13.675 | 99.147 |
| 2 Erwachsene, 2 Kinder | 10,9 | 19,1 | 14.975 | 148.022 |
| 2 Erwachsene, mind. 3 Kinder | 28,8 | 23,4 | 14.164 | 228.524 |
| Sonstige Haushalte mit Kindern | 15,0 | 24,9 | 13.885 | 96.630 |
| wohnhaft in ... | ||||
| dicht besiedelt | 21,9 | 24,6 | 13.954 | 618.138 |
| mittel besiedelt | 12,1 | 20,8 | 14.660 | 332.749 |
| dünn besiedelt | 10,7 | 19,7 | 14.860 | 362.618 |
- Werte mit Fallzahlen unter 20 Personen werden geklammert. (x): Werte basierend auf zu geringen Fallzahlen werden nicht ausgewiesen.
4.1.1 Armutsgefährdung - Verteilung und Bundesländervergleich
In Abbildung 13 sind die Armutsgefährdungsquoten in den Bundesländern dargestellt. Die Error-bars repräsentieren jeweils das 95%- Konfidenzintervall. Wenn sich die Fehlerbalken (Error-bars) der Bundesländer nicht überlappen, sind die Unterschiede der Gefährdungsquoten statistisch signifikant. In den kleineren Bundesländern ist aufgrund der geringeren Stichprobengröße die Schwankungsbreite entsprechend größer.
Lesebeispiel:
Zwischen dem Burgenland und Kärnten gibt es keine Überlappung der Fehlerbalken, d.h. der Unterschied in der Armutsgefährdungsquote zwischen diesen beiden Bundesländern ist statistisch signifikant.
Tabelle 18 stellt die Armutsgefährdungsquote, die Armutsgefährdungslücke und die Anzahl der betroffenen Personen mit ihrem Medianeinkommen in den Bundesländern dar.
Abbildung 13: Verteilung der Armutsgefährdungsquote
| Bundesland | Armutsgefährdung | Medianeinkommen | betroffene Personen | |
|---|---|---|---|---|
| Quote | Lücke | |||
| Burgenland | 7,3 | 21,0 | 21.518 | 14.618 |
| Vorarlberg | 17,0 | 35,8 | 68.462 | 11.883 |
| Salzburg | 9,4 | 21,5 | 52.271 | 14.514 |
| Kärnten | 14,1 | 17,4 | 78.759 | 15.286 |
| Tirol | 13,4 | 19,3 | 101.937 | 14.923 |
| Steiermark | 13,2 | 19,4 | 163.866 | 14.912 |
| Oberösterreich | 12,0 | 16,0 | 179.508 | 15.535 |
| Niederösterreich | 11,4 | 21,5 | 193.909 | 14.514 |
| Wien | 23,3 | 26,3 | 453.274 | 13.635 |
| Österreich | 14,7 | 22,0 | 1.313.506 | 14.432 |
4.1.2 Armutsgefährdung - Zeitliche Entwicklung
4.1.2.1 Zeitreihe der 3- jährigen Durchschnitte
Die folgende Grafik 14 stellt die zeitliche Entwicklung der 3- jährigen Durchschnitte der Armutsgefährdungsquote dar. Es zeigt sich ein recht konstanter Verlauf der Quote über die Zeit. Die erhöhte Volatilität in Tirol ist der geringen Stichprobengröße geschuldet. Die hellroten bzw. hellblauen Flächen repräsentieren die mittels Bootstrapping ermittelten jeweiligen 95%- Konfidenzbänder. Die Grenzen des Konfidenzintervalls werden durch die entsprechenden Quantile (2,5%- und 97,5%-Quantil) der Bootstrap-Verteilung bestimmt.
Abbildung 14: Entwicklung der Armutsgefährdungsquote (3- jährige Durchschnitte)
| Periode | Armutsgefährdungsquote in % | |
|---|---|---|
| in Tirol | in Österreich | |
| 2010 - 2012 | 13,5 | 14,5 |
| 2011 - 2013 | 13,7 | 14,4 |
| 2012 - 2014 | 12,4 | 14,3 |
| 2013 - 2015 | 13,9 | 14,1 |
| 2014 - 2016 | 15,0 | 14,0 |
| 2015 - 2017 | 16,1 | 14,1 |
| 2016 - 2018 | 15,1 | 14,3 |
| 2017 - 2019 | 13,7 | 14,0 |
| 2018 - 2020 | 12,9 | 13,9 |
| 2019 - 2021 | 13,5 | 14,0 |
| 2020 - 2022 | 14,5 | 14,5 |
| 2021 - 2023 | 14,8 | 14,8 |
| 2022 - 2024 | 13,4 | 14,7 |
4.1.2.2 Zeitreihe der Einzeljahre seit Beginn der Erhebung
In Grafik 15 ist die zeitliche Entwicklung der Armutsgefährdungsquote in Einzeljahren seit Beginn der Erhebung dargestellt. Die hohe Schwankungsbreite in den Tiroler Daten sind mit der relativ kleinen Stichprobe für Tirol zu erklären. In der Grafik ist zudem ein deutlicher Strukturbruch zwischen 2007 und 2008 erkennbar. Dieser ist auf eine Änderung der Datenerhebung zurückzuführen. Bis 2007 stützten sich die für die Berechnung der Armutsgefährdungsquote erforderlichen einkommensrelevanten Merkmale auf Befragungen der in der Stichprobe enthaltenen Personen. Mit der Erhebung 2008 wurden diese Merkmale erstmals nicht mehr durch Befragungen, sondern durch Auswertungen der jeweiligen statistischen Register gewonnen.
Die Plausibilisierung der Daten zeigte, dass Personen mit sehr niedrigen Einkommen in Befragungen tendenziell höhere Einkommen angaben, als tatsächlich vorlagen. Dadurch fiel die Armutsgefährdungsquote ab 2008 sowohl in Tirol als auch österreichweit deutlich höher aus. Ebenso wurde festgestellt, dass Personen mit sehr hohen Einkommen in Befragungen eher niedrigere Werte angaben. Diese Verzerrung beeinflusst zwar nicht die Armutsgefährdungsquote, wirkt sich jedoch auf bestimmte verteilungsrelevante Einkommensparameter aus.
Abbildung 15: Entwicklung der Armutsgefährdungsquote (Einzeljahre)
| Jahr | Armutsgefährdungsquote in % | |
|---|---|---|
| in Tirol | in Österreich | |
| 2003 | 13,9 | 13,2 |
| 2004 | 11,0 | 12,8 |
| 2005 | 14,0 | 12,3 |
| 2006 | 10,0 | 12,6 |
| 2007 | 10,1 | 12,0 |
| 2008 | 13,0 | 15,2 |
| 2009 | 12,6 | 14,5 |
| 2010 | 13,1 | 14,7 |
| 2011 | 14,3 | 14,5 |
| 2012 | 13,1 | 14,4 |
| 2013 | 13,8 | 14,4 |
| 2014 | 10,5 | 14,1 |
| 2015 | 17,5 | 13,9 |
| 2016 | 17,0 | 14,1 |
| 2017 | 13,9 | 14,4 |
| 2018 | 14,3 | 14,3 |
| 2019 | 12,9 | 13,3 |
| 2020 | 11,4 | 13,9 |
| 2021 | 16,1 | 14,7 |
| 2022 | 16,0 | 14,8 |
| 2023 | 12,3 | 14,9 |
| 2024 | 12,0 | 14,3 |
4.1.3 Dauerhafte Armutsgefährdung
Der Indikator „dauerhafte Armutsgefährdung“ (Persistent at-risk-of-poverty rate) wird europaweit von Eurostat berechnet und veröffentlicht.
Als dauerhaft armutsgefährdet gelten Personen, die im Erhebungsjahr sowie in mindestens zwei der drei vorangegangenen Jahre von Armutsgefährdung betroffen waren. Der Indikator „Dauerhafte Armutsgefährdung“ kann definitionsgemäß nur für Personen berechnet werden, die über vier aufeinanderfolgende Jahre hinweg an der Befragung teilgenommen haben. In dieser Arbeit betrifft dies die Personen, die in den Jahren 2021, 2022, 2023 und 2024 an der Erhebung mitgewirkt haben.
Im Jahr 2024 waren in Tirol 54.880 Personen - das entspricht 7,8% der Bevölkerung - dauerhaft armutsgefährdet. Österreichweit waren es 762.952 Personen bzw. 9,1% der Bevölkerung.
5 Deprivation
Armut kann auch als mangelnde Teilhabe innerhalb einer Gesellschaft definiert werden. Als Grundlage für dieses Konzept wird meist die vom Britischen Forscher Peter Townsend (1979) formulierte Definition verwendet (siehe Townsend (1979)): Armut wird dann angenommen, wenn die verfügbaren Ressourcen nicht ausreichen, um den in einer Gesellschaft üblichen Lebensstandard zu erreichen.
5.1 Materielle und soziale Deprivation
Der Indikator für materielle und soziale Deprivation berücksichtigt die Nicht-Leistbarkeit von mindestens 5 von 13 von der EU festgelegten Grundbedürfnissen, die einen europäischen Mindestlebensstandard definieren. Von den 13 Grundbedürfnissen werden 7 auf Haushalts- und 6 auf Personenebene erhoben. Gegenstand der Erhebung sind alle Personen ab 16 Jahren.
Für den Haushalt ist Folgendes finanziell nicht leistbar:
Unerwartete Ausgaben in der Höhe von 1.390 Euro zu tätigen
Einmal im Jahr auf Urlaub zu fahren
Miete, Betriebskosten oder Kredite pünktlich zu bezahlen
Jeden zweiten Tag Fleisch, Fisch oder eine vergleichbare vegetarische Speise zu essen
Die Wohnung angemessen warm zu halten
Abgenützte Möbel zu ersetzen
Ein Auto zu besitzen
Für Personen ab 16 Jahren ist Folgendes nicht leistbar:
Eine zufriedenstellende Internetverbindung zu haben
Abgenutzte Kleidung zu ersetzen
Zwei Paar passende Schuhe zu besitzen
Jede Woche einen kleinen Betrag für sich selbst auszugeben
Regelmäßig kostenpflichtige Freizeitaktivitäten auszuüben
Einmal im Monat Freund:innen oder Familie zum Essen/Trinken zu treffen
Die Tabelle 19 zeigt die Betroffenheit von materieller und sozialer Deprivation in Tirol. In Tabelle 20 sind für Vergleichszwecke die Werte von Österreich dargestellt.
Demnach stellen für etwa 21,0% der Tiroler:innen unerwartete Ausgaben in der Höhe von 1.370 Euro ein Problem dar.
Rund 15,9% können es sich nicht leisten einmal im Jahr auf Urlaub zu fahren und 3,4% sind mit Zahlungen im Rückstand.
Zirka 4,7% können es sich nicht leisten, jeden zweiten Tag Fleisch, Fisch oder eine vergleichbare vegetarische Speise zu konsumieren.
Die Heizkosten sind für 1,7% der Tiroler:innen nicht leistbar.
Etwa 8,1% der Bevölkerung ist es nicht möglich, abgenutzte Möbel zu ersetzen und rund 4,7% können es sich nicht leisten, ein Auto zu besitzen.
Eine zufriedenstellende Internetverbindung zu haben, ist für 0,8% der Bevölkerung nicht leistbar.
Für 2,5% der Tiroler:innen ist es aus finanziellen Gründen nicht möglich, abgenutzte Kleidung zu ersetzen und etwa 0,5% können es sich nicht leisten, zwei Paar passende Schuhe zu besitzen.
Jede Woche einen kleinen Betrag für sich selbst auszugeben, ist für 4,6% der Bevölkerung nicht möglich und 8,8% ist es finanziell nicht möglich, regelmäßig kostenpflichtige Freizeitaktivitäten auszuüben.
Rund 3,1% der Tiroler:innen verfügen nicht über die finanziellen Mittel, sich einmal im Monat mit Freund:innen oder Familie zum Essen oder Trinken zu treffen.
| Merkmale finanzieller Deprivation | Gesamt | nicht armutsgefährdet | armutsgefährdet | |||
|---|---|---|---|---|---|---|
| Anzahl | in % | Anzahl | in % | Anzahl | in % | |
| Haushalt kann sich nicht leisten ... | ||||||
| unerwartete Ausgaben zu tätigen | 159.370 | 21,0 | 114.941 | 17,5 | 44.430 | 43,3 |
| einmal im Jahr auf Urlaub zu fahren | 121.109 | 15,9 | 85.541 | 13,0 | 35.567 | 34,8 |
| Miete, Betriebskosten oder Kredite pünktlich zu bezahlen | 25.614 | 3,4 | 22.522 | 3,4 | 3.092 | 3,3 |
| jeden 2. Tag Fleich, Fisch zu essen | 35.951 | 4,7 | 17.533 | 2,7 | 18.419 | 17,9 |
| die Wohnung angemessen warm zu halten | 13.230 | 1,7 | 10.498 | 1,6 | 2.732 | 2,7 |
| abgenützte Möbel zu ersetzen | 61.486 | 8,1 | 43.662 | 6,6 | 17.824 | 17,5 |
| ein Auto zu besitzen | 35.399 | 4,7 | 17.766 | 2,7 | 17.633 | 17,3 |
| Person kann sich nicht leisten ... ¹ | ||||||
| eine zufriedenstellende Internetverbindung zu haben | (4.771) | (0,8) | (3.586) | (0,6) | (1.185) | (1,4) |
| abgenutzte Kleidung zu ersetzen | 15.665 | 2,5 | 11.184 | 2,0 | 4.481 | 5,3 |
| zwei Paar passende Schuhe zu besitzen | (3.293) | (0,5) | (2.353) | (0,4) | (940) | (1,0) |
| jede Woche einen kleinen Betrag für sich selbst auszugeben | 29.315 | 4,6 | 18.741 | 3,4 | 10.573 | 12,6 |
| regelmäßig kostenpflichtige Freizeitaktivitäten auszuüben | 55.508 | 8,8 | 35.995 | 6,6 | 19.513 | 22,7 |
| einmal im Monat Freund:innen oder Familie zum Essen/Trinken zu treffen | 19.763 | 3,1 | 9.970 | 1,8 | 9.793 | 11,8 |
-
Werte mit Fallzahlen unter 20 Personen werden geklammert. (x): Werte basierend auf zu geringen Fallzahlen werden nicht ausgewiesen.
¹ Die Merkmale auf Personenebene wurden für alle Personen im Alter von 16 Jahren und mehr erhoben.
| Merkmale finanzieller Deprivation | Gesamt | nicht armutsgefährdet | armutsgefährdet | |||
|---|---|---|---|---|---|---|
| Anzahl | in % | Anzahl | in % | Anzahl | in % | |
| Haushalt kann sich nicht leisten ... | ||||||
| unerwartete Ausgaben zu tätigen | 1.875.282 | 20,9 | 1.216.878 | 15,9 | 658.404 | 50,1 |
| einmal im Jahr auf Urlaub zu fahren | 1.567.094 | 17,5 | 1.029.603 | 13,4 | 537.491 | 40,9 |
| Miete, Betriebskosten oder Kredite pünktlich zu bezahlen | 569.396 | 6,3 | 350.386 | 4,6 | 219.010 | 16,7 |
| jeden 2. Tag Fleich, Fisch zu essen | 416.157 | 4,6 | 246.041 | 3,2 | 170.116 | 12,9 |
| die Wohnung angemessen warm zu halten | 316.462 | 3,5 | 207.983 | 2,7 | 108.479 | 8,3 |
| abgenützte Möbel zu ersetzen | 846.599 | 9,4 | 502.185 | 6,6 | 344.415 | 26,2 |
| ein Auto zu besitzen | 470.642 | 5,2 | 207.352 | 2,7 | 263.290 | 20,1 |
| Person kann sich nicht leisten ... ¹ | ||||||
| eine zufriedenstellende Internetverbindung zu haben | 113.092 | 1,5 | 59.464 | 0,9 | 53.627 | 5,1 |
| abgenutzte Kleidung zu ersetzen | 345.836 | 4,6 | 199.927 | 3,1 | 145.909 | 14,0 |
| zwei Paar passende Schuhe zu besitzen | 68.448 | 0,9 | 42.949 | 0,7 | 25.499 | 2,4 |
| jede Woche einen kleinen Betrag für sich selbst auszugeben | 490.734 | 6,5 | 292.761 | 4,5 | 197.973 | 19,0 |
| regelmäßig kostenpflichtige Freizeitaktivitäten auszuüben | 794.726 | 10,5 | 494.536 | 7,6 | 300.190 | 28,7 |
| einmal im Monat Freund:innen oder Familie zum Essen/Trinken zu treffen | 262.720 | 3,5 | 158.425 | 2,4 | 104.295 | 10,0 |
-
Werte mit Fallzahlen unter 20 Personen werden geklammert. (x): Werte basierend auf zu geringen Fallzahlen werden nicht ausgewiesen.
¹ Die Merkmale auf Personenebene wurden für alle Personen im Alter von 16 Jahren und mehr erhoben.
Wenn, wie eingangs erwähnt, 5 der 13 von der EU definierten Grundbedürfnisse aus finanziellen Gründen nicht erfüllt werden können, gilt man als materiell und sozial depriviert.
In Tirol gelten demnach 33.894 Personen (4,5% der Bevölkerung) als materiell und sozial depriviert. Das Medianeinkommen dieser Personen beläuft sich auf 19.421 Euro jährlich. Mit einer Quote von 5,3% sind Frauen etwas mehr von materieller und sozialer Derivation betroffen als Männer (3,7%). Nicht in Österreich geborenen Personen weisen mit 9,6% eine sehr hohe Deprivationsquote auf. Eine ebenfalls hohe materielle und soziale Deprivation kann bei Personen festgestellt werden, die in dicht besiedelten Regionen leben (11,7%). Laut EU-Definition handelt es sich bei dicht besiedelten Regionen um Städte mit einer Mindestbevölkerung von 50.000 Einwohnern und einer Bevölkerungsdichte von mindestens 1.500 Einwohnern pro km2. In Tirol trifft dies nur auf die Stadt Innsbruck zu.
In Tabelle 21 und 22 sind die von materieller und sozialer Deprivation betroffenen Personen nach soziodemografischen Merkmalen für Tirol und Österreich zusammengefasst.
| Soziodemografisches Merkmal | Materiell und sozial depriviert Quote in % | betroffene Personen | Medianeinkommen materiell und sozial depriviert | Medianeinkommen nicht materiell und sozial depriviert |
|---|---|---|---|---|
| Gesamt | 4,5 | 33.894 | 19.421 | 30.487 |
| Frauen | 5,3 | 19.772 | 19.735 | 29.720 |
| Männer | 3,7 | 14.123 | 20.245 | 31.302 |
| Geburtsland nicht Österreich | 9,6 | 18.914 | 16.657 | 27.327 |
| Geburtsland Österreich | 2,4 | 11.523 | 23.192 | 32.089 |
| ledig | 3,2 | 6.789 | 21.500 | 31.274 |
| verheiratet, eingetragene Partnerschaft | 4,0 | 13.431 | 18.908 | 31.773 |
| verwitwet | 3,0 | 1.070 | (x) | 26.412 |
| geschieden | 9,3 | 4.960 | 20.241 | 28.310 |
| jünger 15 Jahre | 6,3 | 7.201 | 20.245 | 27.551 |
| jünger 20 Jahre | 5,0 | 8.401 | 20.245 | 28.617 |
| älter 14 und jünger 65 Jahre | 4,2 | 21.392 | 19.734 | 32.538 |
| älter 17 und jünger 65 Jahre | 4,3 | 20.394 | 19.865 | 32.690 |
| älter 65 Jahre | 3,7 | 4.779 | 17.857 | 26.110 |
| erwerbstätig | 2,9 | 9.824 | 20.895 | 34.015 |
| nicht erwerbstätig | 5,2 | 4.252 | 22.824 | 28.764 |
| Pensionisten | 3,7 | 4.914 | 23.594 | 25.662 |
| Einpersonenhaushalt | 7,2 | 9.023 | 19.707 | 26.322 |
| 2 Erwachsene, keine Kinder, zumindest 1 Pers. 65+ | 1,1 | 976 | (x) | 28.241 |
| 2 Erwachsene, keine Kinder, beide < 65 | 0,9 | 939 | (x) | 36.304 |
| Andere Haushalte ohne Kinder | 4,3 | 3.452 | (x) | 39.626 |
| Ein-Eltern-Haushalt, zumindest 1 Kind | 7,5 | 1.355 | 32.499 | 18.718 |
| 2 Erwachsene, 1 Kind | 7,9 | 6.477 | 16.467 | 33.969 |
| 2 Erwachsene, 2 Kinder | 4,5 | 5.632 | (x) | 29.559 |
| 2 Erwachsene, mind. 3 Kinder | 7,9 | 5.842 | 20.245 | 27.918 |
| Sonstige Haushalte mit Kindern | 0,4 | 197 | (x) | 25.930 |
| wohnhaft in ... | ||||
| dicht besiedelt | 11,7 | 12.921 | 14.528 | 27.648 |
| mittel besiedelt | 4,5 | 14.835 | 21.259 | 31.893 |
| dünn besiedelt | 1,9 | 6.139 | 21.978 | 29.346 |
- Werte mit Fallzahlen unter 20 Personen werden geklammert. (x): Werte basierend auf zu geringen Fallzahlen werden nicht ausgewiesen.
| Soziodemografisches Merkmal | Materiell und sozial depriviert Quote in % | betroffene Personen | Medianeinkommen materiell und sozial depriviert | Medianeinkommen nicht materiell und sozial depriviert |
|---|---|---|---|---|
| Gesamt | 6,8 | 607.574 | 18.478 | 31.792 |
| Frauen | 7,3 | 330.225 | 18.280 | 31.310 |
| Männer | 6,3 | 277.349 | 18.724 | 32.331 |
| Geburtsland nicht Österreich | 13,6 | 274.513 | 17.734 | 26.234 |
| Geburtsland Österreich | 4,3 | 249.666 | 20.292 | 34.104 |
| ledig | 6,5 | 165.995 | 18.933 | 32.933 |
| verheiratet, eingetragene Partnerschaft | 4,9 | 189.580 | 20.072 | 33.524 |
| verwitwet | 7,5 | 35.860 | 19.065 | 28.090 |
| geschieden | 15,2 | 102.277 | 17.628 | 28.909 |
| jünger 15 Jahre | 7,8 | 102.513 | 17.455 | 28.363 |
| jünger 20 Jahre | 7,6 | 141.361 | 17.052 | 29.048 |
| älter 14 und jünger 65 Jahre | 7,2 | 437.093 | 19.064 | 33.454 |
| älter 17 und jünger 65 Jahre | 7,2 | 410.410 | 19.408 | 33.641 |
| älter 65 Jahre | 4,1 | 62.079 | 17.384 | 29.380 |
| erwerbstätig | 3,7 | 141.391 | 23.697 | 35.742 |
| nicht erwerbstätig | 14,9 | 149.119 | 17.300 | 29.001 |
| Pensionisten | 5,5 | 83.837 | 21.413 | 31.302 |
| Einpersonenhaushalt | 11,4 | 179.172 | 17.339 | 27.424 |
| 2 Erwachsene, keine Kinder, zumindest 1 Pers. 65+ | 2,5 | 25.421 | 19.324 | 31.440 |
| 2 Erwachsene, keine Kinder, beide < 65 | 4,9 | 66.857 | 22.592 | 38.766 |
| Andere Haushalte ohne Kinder | 4,4 | 37.026 | 24.706 | 39.462 |
| Ein-Eltern-Haushalt, zumindest 1 Kind | 21,7 | 59.926 | 17.042 | 22.180 |
| 2 Erwachsene, 1 Kind | 4,0 | 43.236 | 22.643 | 33.187 |
| 2 Erwachsene, 2 Kinder | 5,4 | 72.995 | 19.511 | 31.453 |
| 2 Erwachsene, mind. 3 Kinder | 9,1 | 71.888 | 13.687 | 25.020 |
| Sonstige Haushalte mit Kindern | 7,9 | 51.054 | 18.148 | 31.576 |
| wohnhaft in ... | ||||
| dicht besiedelt | 11,5 | 323.918 | 17.111 | 30.801 |
| mittel besiedelt | 5,7 | 155.838 | 20.475 | 32.139 |
| dünn besiedelt | 3,8 | 127.818 | 20.815 | 32.163 |
- Werte mit Fallzahlen unter 20 Personen werden geklammert. (x): Werte basierend auf zu geringen Fallzahlen werden nicht ausgewiesen.
5.2 Erhebliche materielle und soziale Deprivation
Die erhebliche materielle und soziale Deprivation ist der zweite Teilbereich der Armuts- oder Ausgrenzungsgefährdung, die in der Europa 2030-Strategie zur Bekämpfung der Armut in Europa festgeschrieben wurde. Als erheblich materiell und sozial benachteiligt gelten Personen ab 16 Jahren, die sich aus finanziellen Gründen mindesten 7 der oben beschriebenen Grundbedürfnisse nicht leisten können.
Rund 15.747 Personen, das sind etwa 2,1% der Tiroler Wohnbevölkerung sind von erheblicher materieller und sozialer Deprivation betroffen. Sie erreichen ein Durchschnittseinkommen von 15.375 Euro jährlich.
In Tabelle 23 und 24 ist die Zahl der betroffenen Personen nach soziodemografischen Merkmalen für Tirol und Österreich zusammengefasst.
| Soziodemografisches Merkmal | Erheblich materiell und sozial depriviert Quote in % | betroffene Personen | Medianeinkommen erheblich materiell und sozial depriviert | Medianeinkommen nicht erheblich materiell und sozial depriviert |
|---|---|---|---|---|
| Gesamt | 2,1 | 15.747 | 15.375 | 30.169 |
| Frauen | 2,3 | 8.484 | 15.009 | 29.149 |
| Männer | 1,9 | 7.264 | 21.014 | 30.908 |
| Geburtsland nicht Österreich | 5,4 | 9.807 | 15.009 | 26.271 |
| Geburtsland Österreich | 0,7 | 3.209 | 20.588 | 31.913 |
| ledig | 1,3 | 2.785 | 18.064 | 30.990 |
| verheiratet, eingetragene Partnerschaft | 1,9 | 6.164 | 15.009 | 31.665 |
| verwitwet | 0,9 | 307 | (x) | 26.141 |
| geschieden | 4,6 | 2.488 | 20.940 | 27.804 |
| jünger 15 Jahre | 3,6 | 4.003 | 17.652 | 26.962 |
| jünger 20 Jahre | 2,8 | 4.653 | 19.149 | 28.313 |
| älter 14 und jünger 65 Jahre | 2,0 | 10.299 | 15.261 | 32.207 |
| älter 17 und jünger 65 Jahre | 2,1 | 9.744 | 15.009 | 32.476 |
| älter 65 Jahre | 0,9 | 1.225 | 18.486 | 25.879 |
| erwerbstätig | 1,1 | 3.718 | 15.009 | 33.659 |
| nicht erwerbstätig | 0,7 | 788 | (x) | 28.366 |
| Pensionisten | 0,7 | 1.130 | (x) | 25.615 |
| Einpersonenhaushalt | 2,2 | 2.743 | 20.544 | 25.955 |
| 2 Erwachsene, keine Kinder, zumindest 1 Pers. 65+ | (x) | (x) | (x) | 27.876 |
| 2 Erwachsene, keine Kinder, beide < 65 | 0,1 | 67 | (x) | 35.996 |
| Andere Haushalte ohne Kinder | 2,7 | 2.090 | (x) | 39.068 |
| Ein-Eltern-Haushalt, zumindest 1 Kind | 7,5 | 1.355 | 32.499 | 18.718 |
| 2 Erwachsene, 1 Kind | 5,3 | 4.376 | (x) | 33.969 |
| 2 Erwachsene, 2 Kinder | 1,8 | 2.342 | (x) | 29.408 |
| 2 Erwachsene, mind. 3 Kinder | 3,8 | 2.774 | (x) | 27.298 |
| Sonstige Haushalte mit Kindern | (x) | (x) | (x) | 25.930 |
| wohnhaft in ... | ||||
| dicht besiedelt | 7,4 | 8.133 | 15.009 | 27.081 |
| mittel besiedelt | 1,8 | 5.952 | 19.517 | 31.880 |
| dünn besiedelt | 0,5 | 1.662 | 22.053 | 29.010 |
- Werte mit Fallzahlen unter 20 Personen werden geklammert. (x): Werte basierend auf zu geringen Fallzahlen werden nicht ausgewiesen.
| Soziodemografisches Merkmal | Erheblich materiell und sozial depriviert Quote in % | betroffene Personen | Medianeinkommen erheblich materiell und sozial depriviert | Medianeinkommen nicht erheblich materiell und sozial depriviert |
|---|---|---|---|---|
| Gesamt | 3,2 | 290.976 | 16.627 | 31.317 |
| Frauen | 3,6 | 161.442 | 16.593 | 30.784 |
| Männer | 2,9 | 129.533 | 16.621 | 31.868 |
| Geburtsland nicht Österreich | 6,7 | 132.982 | 16.238 | 25.388 |
| Geburtsland Österreich | 1,9 | 108.780 | 17.471 | 33.837 |
| ledig | 2,9 | 74.898 | 16.650 | 32.343 |
| verheiratet, eingetragene Partnerschaft | 2,2 | 83.998 | 17.269 | 33.129 |
| verwitwet | 2,9 | 14.045 | 17.829 | 27.750 |
| geschieden | 8,5 | 57.352 | 16.743 | 27.802 |
| jünger 15 Jahre | 4,1 | 54.021 | 16.322 | 27.944 |
| jünger 20 Jahre | 4,0 | 73.505 | 15.758 | 28.535 |
| älter 14 und jünger 65 Jahre | 3,5 | 208.465 | 16.693 | 32.884 |
| älter 17 und jünger 65 Jahre | 3,4 | 194.963 | 16.989 | 33.049 |
| älter 65 Jahre | 1,7 | 25.064 | 16.355 | 28.978 |
| erwerbstätig | 1,4 | 53.630 | 21.646 | 35.447 |
| nicht erwerbstätig | 7,8 | 78.055 | 15.567 | 28.136 |
| Pensionisten | 2,1 | 37.121 | 16.999 | 31.040 |
| Einpersonenhaushalt | 5,6 | 88.739 | 16.629 | 26.774 |
| 2 Erwachsene, keine Kinder, zumindest 1 Pers. 65+ | 0,8 | 7.790 | 13.420 | 31.190 |
| 2 Erwachsene, keine Kinder, beide < 65 | 2,7 | 36.970 | 17.552 | 38.475 |
| Andere Haushalte ohne Kinder | 1,8 | 14.972 | 27.947 | 39.268 |
| Ein-Eltern-Haushalt, zumindest 1 Kind | 12,7 | 35.024 | 16.228 | 21.986 |
| 2 Erwachsene, 1 Kind | 1,5 | 16.465 | 20.871 | 32.840 |
| 2 Erwachsene, 2 Kinder | 2,2 | 29.824 | 16.221 | 31.085 |
| 2 Erwachsene, mind. 3 Kinder | 5,1 | 40.265 | 12.529 | 24.729 |
| Sonstige Haushalte mit Kindern | 3,2 | 20.927 | 17.013 | 30.976 |
| wohnhaft in ... | ||||
| dicht besiedelt | 5,8 | 164.390 | 16.301 | 29.714 |
| mittel besiedelt | 2,6 | 70.911 | 17.858 | 31.660 |
| dünn besiedelt | 1,6 | 55.674 | 16.257 | 31.927 |
- Werte mit Fallzahlen unter 20 Personen werden geklammert. (x): Werte basierend auf zu geringen Fallzahlen werden nicht ausgewiesen.
5.3 Deprivation in anderen Lebensbereichen
Neben dem oben definierten Mindestlebensstandard können auch in anderen Lebenssituationen Benachteiligungen auftreten. Die Deprivation gliedert sich in die Bereiche:
Ausstattung mit Konsumgütern: Erzwungener Verzicht auf als erstrebenswert geltende Güter (PKW, Handy oder Festnetztelefon, PC, Tablet oder Laptop, Waschmaschine)
Wohnungsprobleme: Kein Bad oder WC in der Wohnung, Schimmel oder Feuchtigkeit, usw.
Probleme im Wohnumfeld: Lärmbelästigung, Verschmutzung, Kriminalität, usw.
Gesundheitliche Beeinträchtigung: Sehr schlechter Gesundheitszustand, chronische Krankheit, usw.
In Tabelle 25 bis Tabelle 27 sind die Ergebnisse von Deprivation für Tirol zusammengefasst. Aufgrund der kleinen Stichprobe konnten nicht alle Bereiche für Tirol untersucht werden. Da sich in manchen Subgruppen eine sehr kleine Stichprobengröße ergibt, sollten diese Werte als „Richtwerte“ mit großen Schwankungsbreiten verstanden und auch dementsprechend interpretiert werden.
Die Tabellen 28 bis 30 zeigen die entsprechenden Österreichwerte.
| Merkmale finanzieller Deprivation | Gesamt | nicht armutsgefährdet | armutsgefährdet | |||
|---|---|---|---|---|---|---|
| Anzahl | in % | Anzahl | in % | Anzahl | in % | |
| Kann sich nicht leisten ... | ||||||
| ein Auto zu besitzen | 35.399 | 4,7 | 17.766 | 2,7 | 17.633 | 17,3 |
| eine zufriedenstellende Internetverbindung zu haben | (4.771) | (0,8) | (3.586) | (0,6) | (1.185) | (1,4) |
| PC oder Laptop | (19.932) | (2,6) | (7.749) | (1,2) | (12.183) | (11,4) |
| Festnetztelefon oder Handy | (x) | (x) | (x) | (x) | (x) | (x) |
| Waschmaschine | (x) | (x) | (x) | (x) | (x) | (x) |
- Werte mit Fallzahlen unter 20 Personen werden geklammert. (x): Werte basierend auf zu geringen Fallzahlen werden nicht ausgewiesen.
| Merkmale finanzieller Deprivation | Gesamt | nicht armutsgefährdet | armutsgefährdet | |||
|---|---|---|---|---|---|---|
| Anzahl | in % | Anzahl | in % | Anzahl | in % | |
| Beeinträchtigt durch ... | ||||||
| Feuchtigkeit, Fäulnis, Undichtheit in Haus oder Wohnung | 61.831 | 8,1 | 41.910 | 6,4 | 19.921 | 20,2 |
| Dunkle Räume | 49.529 | 6,5 | 34.601 | 5,2 | 14.928 | 14,8 |
| Lärmbelästigung durch Nachbarn oder Straße | 151.545 | 19,9 | 129.424 | 19,6 | 22.121 | 22,4 |
| Luft-, Wasserverschmutzung, Ruß durch Verkehr/Industrie | 64.954 | 8,5 | 57.180 | 8,7 | 7.774 | 8,0 |
| Kriminalität, Gewalt oder Vandalismus in der Wohngegend | 33.015 | 4,3 | 30.030 | 4,5 | 2.986 | 3,2 |
- Werte mit Fallzahlen unter 20 Personen werden geklammert. (x): Werte basierend auf zu geringen Fallzahlen werden nicht ausgewiesen.
| Merkmale finanzieller Deprivation | Gesamt | nicht armutsgefährdet | armutsgefährdet | |||
|---|---|---|---|---|---|---|
| Anzahl | in % | Anzahl | in % | Anzahl | in % | |
| Stark beeinträchtigt durch ... | ||||||
| Allgemeiner Gesundheitszustand schlecht oder sehr schlecht | 48.818 | 7,7 | 31.739 | 5,8 | 17.079 | 19,5 |
| Chronische Krankheit vorhanden | 225.115 | 35,6 | 188.440 | 34,5 | 36.675 | 42,8 |
| notwendige zahnmedizinische Leistungen nicht leistbar | (x) | (x) | (x) | (x) | (x) | (x) |
| notwendige sonst. medizinische Leistungen nicht leistbar | (x) | (x) | (x) | (x) | (x) | (x) |
| Behinderung | 51.315 | 8,1 | 37.329 | 6,8 | 13.986 | 16,0 |
-
Werte mit Fallzahlen unter 20 Personen werden geklammert. (x): Werte basierend auf zu geringen Fallzahlen werden nicht ausgewiesen.
Behinderung: Subjektiv wahrgenommene starke Einschränkung bei Tätigkeiten des normalen Alltagslebens seit mindestens sechs Monaten.
| Merkmale finanzieller Deprivation | Gesamt | nicht armutsgefährdet | armutsgefährdet | |||
|---|---|---|---|---|---|---|
| Anzahl | in % | Anzahl | in % | Anzahl | in % | |
| Kann sich nicht leisten ... | ||||||
| ein Auto zu besitzen | 470.642 | 5,2 | 207.352 | 2,7 | 263.290 | 20,1 |
| eine zufriedenstellende Internetverbindung zu haben | 113.092 | 1,5 | 59.464 | 0,9 | 53.627 | 5,1 |
| PC oder Laptop | 215.709 | 2,4 | 99.844 | 1,3 | 115.864 | 8,8 |
| Festnetztelefon oder Handy | 20.414 | 0,2 | 13.486 | 0,2 | 6.928 | 0,5 |
| Waschmaschine | 41.352 | 0,5 | 23.434 | 0,3 | 17.917 | 1,4 |
- Werte mit Fallzahlen unter 20 Personen werden geklammert. (x): Werte basierend auf zu geringen Fallzahlen werden nicht ausgewiesen.
| Merkmale finanzieller Deprivation | Gesamt | nicht armutsgefährdet | armutsgefährdet | |||
|---|---|---|---|---|---|---|
| Anzahl | in % | Anzahl | in % | Anzahl | in % | |
| Beeinträchtigt durch ... | ||||||
| Feuchtigkeit, Fäulnis, Undichtheit in Haus oder Wohnung | 931.781 | 10,4 | 710.852 | 9,3 | 220.929 | 16,8 |
| Dunkle Räume | 589.267 | 6,6 | 446.083 | 5,8 | 143.185 | 10,9 |
| Lärmbelästigung durch Nachbarn oder Straße | 1.700.354 | 19,0 | 1.434.766 | 18,7 | 265.588 | 20,2 |
| Luft-, Wasserverschmutzung, Ruß durch Verkehr/Industrie | 706.852 | 7,9 | 584.139 | 7,6 | 122.713 | 9,4 |
| Kriminalität, Gewalt oder Vandalismus in der Wohngegend | 600.567 | 6,7 | 509.182 | 6,6 | 91.385 | 7,0 |
- Werte mit Fallzahlen unter 20 Personen werden geklammert. (x): Werte basierend auf zu geringen Fallzahlen werden nicht ausgewiesen.
| Merkmale finanzieller Deprivation | Gesamt | nicht armutsgefährdet | armutsgefährdet | |||
|---|---|---|---|---|---|---|
| Anzahl | in % | Anzahl | in % | Anzahl | in % | |
| Stark beeinträchtigt durch ... | ||||||
| Allgemeiner Gesundheitszustand schlecht oder sehr schlecht | 627.307 | 8,3 | 457.834 | 7,1 | 169.473 | 16,2 |
| Chronische Krankheit vorhanden | 2.689.586 | 35,7 | 2.255.539 | 34,7 | 434.046 | 41,5 |
| notwendige zahnmedizinische Leistungen nicht leistbar | 51.875 | 0,7 | 27.964 | 0,4 | 23.910 | 2,3 |
| notwendige sonst. medizinische Leistungen nicht leistbar | (14.486) | (0,2) | (8.965) | (0,1) | (5.521) | (0,5) |
| Behinderung | 637.706 | 8,5 | 492.228 | 7,6 | 145.478 | 13,9 |
-
Werte mit Fallzahlen unter 20 Personen werden geklammert. (x): Werte basierend auf zu geringen Fallzahlen werden nicht ausgewiesen.
Behinderung: Subjektiv wahrgenommene starke Einschränkung bei Tätigkeiten des normalen Alltagslebens seit mindestens sechs Monaten.
Lesebeispiel anhand des Merkmals „Kann sich nicht leisten ein Auto zu besitzen“ (Tab. 25 bzw. Tab. 28):
4,7% aller Tiroler und Tirolerinnen geben an, sich kein Auto leisten zu können. 2,7% aller nicht armutsgefährdeten TirolerInnen sowie 17,3% aller Armutsgefährdeten können sich einen PKW nicht leisten.
6 Erwerbsintensität der Haushalte
Unter Erwerbsintensität eines Haushaltes versteht man den Anteil der Erwerbsmonate aller im Haushalt lebenden erwerbsfähigen Personen im Alter zwischen 18 und 64 Jahren, an der im Haushalt maximal möglichen Erwerbszeit im Referenzjahr. Bei Personen mit Vollzeiterwerbstätigkeit wird unabhängig von den pro Monat tatsächlich geleisteten Arbeitsstunden eine volle Erwerbsbeteiligung angenommen. Bei Teilzeitbeschäftigten werden die geleisteten Stunden durch 35 dividiert und anteilsmäßig eingerechnet.
Nicht berechnet wird die Erwerbsintensität für:
Personen, die gemäß ihrer Hauptaktivität in Pension sind
Pensionsbezieher:innen mit Ausnahme von Hinterbliebenenpensionen
Personen ab 60 Jahren, die nicht erwerbstätig sind und in deren Haushalt Pensionszahlungen die Haupteinnahmequelle sind
Personen bis 24 Jahre, deren derzeitige Hauptaktivität eine Ausbildung oder ein Studium ist.
Ausgewiesen werden die drei folgenden Kategorien:
Haushalte ohne Erwerbsbeteiligung
Haushalte deren Erwerbsintensität 20 oder weniger Prozent der maximal möglichen Erwerbsbeteiligung aufweist
Haushalte deren Erwerbsintensität 20 Prozent der maximal möglichen Erwerbsbeteiligung übersteigt.
Tabelle 31 und Tabelle 32 zeigen die Werte für Tirol und Österreich.
| Ausmaß der Erwerbsbeteiligung | Anzahl der Haushalte absolut | Anteil der Haushalte relativ |
|---|---|---|
| Haushalt ohne Erwerbsbeteiligung | 9.628 | 1,8 |
| Haushalt mit sehr geringer Erwerbsbeteiligung | 5.491 | 1,0 |
| Haushalt mit größerer oder voller Erwerbsbeteiligung | 525.872 | 97,2 |
| Ausmaß der Erwerbsbeteiligung | Anzahl der Haushalte absolut | Anteil der Haushalte relativ |
|---|---|---|
| Haushalt ohne Erwerbsbeteiligung | 297.645 | 4,6 |
| Haushalt mit sehr geringer Erwerbsbeteiligung | 76.676 | 1,2 |
| Haushalt mit größerer oder voller Erwerbsbeteiligung | 6.063.894 | 94,2 |
6.1 Keine oder sehr niedrige Erwerbsintensität
Der Indikator “Keine oder sehr niedrige Erwerbsintensität” ist der dritte Teilbereich zur Bestimmung der Armuts- oder Ausgrenzungsgeährdung der Europa-2030 Strategie.
Keine oder sehr niedrige Erwerbsintensität weisen demnach Haushalte auf, deren Erwerbsbeteiligung weniger als 20% des maximal möglichen jährlichen Erwerbspotentials unterschreitet. Die folgenden zwei Tabellen zeigen die Erwerbsintensitäten der Tiroler und österreichischen Haushalte nach soziodemografischen Merkmalen.
| Soziodemografisches Merkmal | Haushalte mit keiner oder sehr niedriger Erwerbsintensität | ||
|---|---|---|---|
| Quote | betroffene Personen | Medianeinkommen | |
| Gesamt | 2,8 | 15.119 | 21.558 |
| Frauen | (3,4) | (8.755) | (22.533) |
| Männer | (2,3) | (6.364) | (22.275) |
| Geburtsland nicht Österreich | (3,0) | (5.660) | (20.992) |
| Geburtsland Österreich | (3,1) | (9.209) | (23.855) |
| ledig | (3,8) | (6.933) | (22.931) |
| verheiratet, eingetragene Partnerschaft | (2,5) | (5.014) | (22.355) |
| verwitwet | (x) | (x) | (x) |
| geschieden | (x) | (x) | (x) |
| jünger 15 Jahre | (x) | (x) | (x) |
| jünger 20 Jahre | (x) | (x) | (x) |
| älter 14 und jünger 65 Jahre | (3,1) | (12.923) | (24.840) |
| älter 17 und jünger 65 Jahre | (3,3) | (12.923) | (24.840) |
| erwerbstätig | (x) | (x) | (x) |
| nicht erwerbstätig | (21,7) | (5.993) | (23.855) |
| Einpersonenhaushalt | (x) | (x) | (x) |
| 2 Erwachsene, keine Kinder, zumindest 1 Pers. 65+ | (x) | (x) | (x) |
| 2 Erwachsene, keine Kinder, beide < 65 | (x) | (x) | (x) |
| Andere Haushalte ohne Kinder | (x) | (x) | (x) |
| Ein-Eltern-Haushalt, zumindest 1 Kind | (9,4) | (1.867) | (18.488) |
| 2 Erwachsene, 1 Kind | (x) | (x) | (x) |
| 2 Erwachsene, 2 Kinder | (x) | (x) | (x) |
| 2 Erwachsene, mind. 3 Kinder | (x) | (x) | (x) |
| Sonstige Haushalte mit Kindern | (x) | (x) | (x) |
| wohnhaft in ... | |||
| dicht besiedelt | (x) | (x) | (x) |
| mittel besiedelt | (2,9) | (6.729) | (20.057) |
| dünn besiedelt | (2,1) | (4.725) | (23.028) |
- Werte mit Fallzahlen unter 20 Personen werden geklammert. (x): Werte basierend auf zu geringen Fallzahlen werden nicht ausgewiesen.
| Soziodemografisches Merkmal | Haushalte mit keiner oder sehr niedriger Erwerbsintensität | ||
|---|---|---|---|
| Quote | betroffene Personen | Medianeinkommen | |
| Gesamt | 5,8 | 374.321 | 16.199 |
| Frauen | 5,7 | 177.949 | 15.718 |
| Männer | 5,9 | 196.372 | 16.089 |
| Geburtsland nicht Österreich | 8,8 | 149.057 | 14.468 |
| Geburtsland Österreich | 4,7 | 171.252 | 17.586 |
| ledig | 7,4 | 164.085 | 15.851 |
| verheiratet, eingetragene Partnerschaft | 3,9 | 94.043 | 15.703 |
| verwitwet | (18,1) | (6.056) | (21.131) |
| geschieden | 10,6 | 34.494 | 17.832 |
| jünger 15 Jahre | 5,1 | 68.017 | 14.500 |
| jünger 20 Jahre | 5,1 | 93.242 | 14.330 |
| älter 14 und jünger 65 Jahre | 6,0 | 306.304 | 16.209 |
| älter 17 und jünger 65 Jahre | 6,0 | 286.971 | 16.367 |
| erwerbstätig | 0,5 | 17.684 | 22.516 |
| nicht erwerbstätig | 35,5 | 142.132 | 16.368 |
| Einpersonenhaushalt | 14,4 | 108.359 | 15.568 |
| 2 Erwachsene, keine Kinder, zumindest 1 Pers. 65+ | 25,1 | 17.045 | 22.895 |
| 2 Erwachsene, keine Kinder, beide < 65 | 4,8 | 52.836 | 16.845 |
| Andere Haushalte ohne Kinder | (2,9) | (17.731) | (19.846) |
| Ein-Eltern-Haushalt, zumindest 1 Kind | 22,0 | 57.910 | 15.987 |
| 2 Erwachsene, 1 Kind | 2,6 | 25.937 | 21.286 |
| 2 Erwachsene, 2 Kinder | 2,6 | 34.711 | 14.515 |
| 2 Erwachsene, mind. 3 Kinder | 5,7 | 44.504 | 11.302 |
| Sonstige Haushalte mit Kindern | (2,7) | (15.289) | (19.530) |
| wohnhaft in ... | |||
| dicht besiedelt | 10,2 | 223.232 | 15.529 |
| mittel besiedelt | 4,3 | 82.336 | 17.140 |
| dünn besiedelt | 3,0 | 68.753 | 18.554 |
- Werte mit Fallzahlen unter 20 Personen werden geklammert. (x): Werte basierend auf zu geringen Fallzahlen werden nicht ausgewiesen.
7 Armuts- oder Ausgrenzungsgefährdung
7.1 Europa 2030 Strategie
Die “Europa 2030” Strategie ist ein Aktionsplan der EU-Kommission für den Zeitraum bis 2030 mit dem Ziel, die Inhalte der 2017 von der EU in Göteborg beschlossenen Europäischen Säule sozialer Rechte umzusetzen. Sie folgt der in den letztjährigen Publikationen verwendeten und beschriebenen Europa 2020 Stategie nach. Eines der wichtigsten Ziele dieser Strategie ist die Reduktion der Armut. Demnach soll die Anzahl der von Armut oder sozialer Ausgrenzung bedrohter Menschen EU-weit bis 2030 um mindestens 15 Millionen sinken, darunter mindestens 5 Millionen Kinder.2
Zur Messung der Zielerreichung wird der Indikator der Armuts- oder Ausgrenzungsgefährdung herangezogen der wie folgt definiert ist.
Von Armuts- oder Ausgrenzungsgefährdung betroffen sind Personen,
deren äquivalisiertes Haushaltseinkommen unterhalb eines festgelegten Schwellenwertes (Armutsgefährdungsschwelle=60% des Medians) liegt (d.h. armutsgefährdet sind) oder
die erheblich materiell und sozial depriviert sind oder
die in einem Haushalt mit keiner oder sehr niedriger Erwerbsintensität leben.
Unter erheblicher materieller und sozialer Deprivation versteht man die Unterschreitung eines im Rahmen der Europa 2030-Strategie festgelegten Mindestlebensstandards. Mithilfe von 13 Deprivationsmerkmalen auf Haushalts- und Personenebene wird dieser Lebensstandard, der bestimmte Grundbedürfnisse abdeckt, definiert. Wenn insgesamt zumindest sieben der 13 Merkmale nicht finanziell leistbar sind, dann gelten Personen ab 16 Jahren als erheblich materiell und sozial depriviert.
Die 7 Deprivationsmerkmale auf Haushaltsebene konzentrieren sich darauf, ob für den Haushalt folgende Dinge finanziell leistbar wären:
Unerwartete Ausgaben in der Höhe von 1.390 Euro zu tätigen
Einmal im Jahr auf Urlaub zu fahren
Miete, Betriebskosten oder Kredite pünktlich zu bezahlen
Jeden zweiten Tag Fleisch, Fisch oder eine vergleichbare vegetarische Speise zu essen
Die Wohnung angemessen warm zu halten
Abgenützte Möbel zu ersetzen
Ein Auto zu besitzen
Die 6 Deprivationsmerkmale auf Personenebene konzentrieren sich darauf, ob für die Person folgende Dinge finanziell leistbar wären:
Eine zufriedenstellende Internetverbindung zu haben
Abgenutzte Kleidung zu ersetzen
Zwei Paar passende Schuhe zu besitzen
Jede Woche einen kleinen Betrag für sich selbst auszugeben
Regelmäßig kostenpflichtige Freizeitaktivitäten auszuüben
Einmal im Monat Freund:innen oder Familie zum Essen/Trinken zu treffen
Keine oder sehr niedrige Erwerbsintensität liegt in Haushalten vor, in denen die Erwerbsintensität aller erwerbsfähigen Haushaltsmitglieder unter 20% des gesamten jährlichen Erwerbspotenzials liegt. Zu erwerbsfähigen Haushaltsmitgliedern zählen Personen zwischen 18 und 64 Jahren, die weder in Ausbildung noch in Pension sind. Dieser Indikator wird nur für Personen unter 65 Jahren ausgewiesen.
7.2 Armuts- oder Ausgrenzungsgefährdung in Tirol und Österreich
Laut Definition der Europa 2030 Strategie sind in Tirol 118.386 Personen, das sind 15,6% der Wohnbevölkerung, als armuts- oder ausgrenzungsgefährdet einzustufen. Ein erhöhtes Risiko der Armuts- oder Ausgrenzungsgefährdung weisen Einpersonenhaushalte auf. Besonders gefährdet sind Ein-Eltern-Haushalte mit Kindern. Eine ebenfalls erhöhte Ausgrenzungsgefährdung zeigt sich bei Personen die nicht in Österreich geboren wurden. Des Weiteren sind geschiedene oder verwitwete Personen und Pensionisten mit einer erhöhten Armuts- oder Ausgrenzungsgefährdung konfrontiert.
In den beiden folgenden Tabellen sind die Armuts- oder Ausgrenzungsgefährdungsquoten und die davon betroffenen Personen nach soziodemografischen Merkmalen dargestellt. Weiters zeigen sie eine Gegenüberstellung der Medianeinkommen der armuts- oder ausgrenzungsgefährdeten und der nicht armuts- oder ausgrenzungsgefährdeten Personen.
| Soziodemografisches Merkmal | Ausgrenzungsgefährdungs- quote in % | betroffene Personen | Medianeinkommen Ausgrenzungs- gefährdeter | Medianeinkommen nicht Ausgrenzungs- gefährdeter |
|---|---|---|---|---|
| Gesamt | 15,6 | 118.386 | 15.685 | 32.147 |
| Frauen | 17,6 | 66.323 | 15.728 | 31.703 |
| Männer | 13,6 | 52.062 | 15.074 | 32.445 |
| Geburtsland nicht Österreich | 27,6 | 53.790 | 14.733 | 30.735 |
| Geburtsland Österreich | 11,2 | 53.891 | 15.619 | 33.668 |
| ledig | 15,6 | 33.271 | 14.371 | 33.614 |
| verheiratet, eingetragene Partnerschaft | 13,0 | 43.222 | 16.061 | 33.381 |
| verwitwet | (24,8) | (8.426) | (13.083) | (30.525) |
| geschieden | 24,8 | 13.302 | 16.217 | 31.588 |
| jünger 15 Jahre | 16,9 | 19.437 | 17.814 | 29.091 |
| jünger 20 Jahre | 15,2 | 25.492 | 17.477 | 29.851 |
| älter 14 und jünger 65 Jahre | 12,8 | 64.440 | 15.504 | 33.906 |
| älter 17 und jünger 65 Jahre | 12,8 | 60.361 | 15.450 | 34.073 |
| älter 65 Jahre | 25,1 | 32.386 | 14.810 | 29.294 |
| erwerbstätig | 8,5 | 29.321 | 15.230 | 35.050 |
| nicht erwerbstätig | (20,9) | (17.608) | (15.592) | (31.473) |
| Pensionisten | 26,5 | 26.828 | 13.095 | 29.784 |
| Einpersonenhaushalt | 27,2 | 34.096 | 14.465 | 29.336 |
| 2 Erwachsene, keine Kinder, zumindest 1 Pers. 65+ | 21,4 | 19.631 | 13.978 | 30.364 |
| 2 Erwachsene, keine Kinder, beide < 65 | (11,0) | (11.462) | (15.687) | (37.724) |
| Andere Haushalte ohne Kinder | (x) | (x) | (x) | (x) |
| Ein-Eltern-Haushalt, zumindest 1 Kind | 61,1 | 11.494 | 15.689 | 24.442 |
| 2 Erwachsene, 1 Kind | (12,8) | (10.541) | (16.467) | (34.342) |
| 2 Erwachsene, 2 Kinder | (8,6) | (11.080) | (12.863) | (30.593) |
| 2 Erwachsene, mind. 3 Kinder | (12,0) | (9.051) | (17.444) | (27.918) |
| Sonstige Haushalte mit Kindern | (x) | (x) | (x) | (x) |
| wohnhaft in ... | ||||
| dicht besiedelt | 23,2 | 25.482 | 15.286 | 29.395 |
| mittel besiedelt | 14,6 | 48.043 | 15.619 | 33.683 |
| dünn besiedelt | 14,0 | 44.861 | 14.683 | 31.037 |
- Werte mit Fallzahlen unter 20 Personen werden geklammert. (x): Werte basierend auf zu geringen Fallzahlen werden nicht ausgewiesen
| Soziodemografisches Merkmal | Ausgrenzungsgefährdungs- quote in % | betroffene Personen | Medianeinkommen Ausgrenzungs- gefährdeter | Medianeinkommen nicht Ausgrenzungs- gefährdeter |
|---|---|---|---|---|
| Gesamt | 17,4 | 1.558.723 | 15.228 | 33.806 |
| Frauen | 18,3 | 833.047 | 15.363 | 33.435 |
| Männer | 16,4 | 725.677 | 15.039 | 34.075 |
| Geburtsland nicht Österreich | 32,3 | 678.760 | 14.591 | 29.826 |
| Geburtsland Österreich | 11,4 | 670.465 | 15.670 | 35.452 |
| ledig | 18,7 | 474.879 | 15.013 | 34.930 |
| verheiratet, eingetragene Partnerschaft | 12,5 | 481.383 | 15.190 | 34.950 |
| verwitwet | 19,5 | 93.328 | 15.246 | 30.174 |
| geschieden | 29,7 | 200.022 | 15.777 | 32.352 |
| jünger 15 Jahre | 21,7 | 286.174 | 15.227 | 30.386 |
| jünger 20 Jahre | 21,4 | 397.604 | 14.961 | 31.335 |
| älter 14 und jünger 65 Jahre | 16,7 | 1.004.269 | 15.331 | 35.228 |
| älter 17 und jünger 65 Jahre | 16,3 | 932.675 | 15.434 | 35.372 |
| älter 65 Jahre | 16,8 | 250.281 | 14.919 | 31.457 |
| erwerbstätig | 8,7 | 338.614 | 15.235 | 36.741 |
| nicht erwerbstätig | 30,6 | 311.278 | 15.678 | 31.956 |
| Pensionisten | 15,7 | 239.221 | 14.196 | 33.085 |
| Einpersonenhaushalt | 28,8 | 451.991 | 14.977 | 30.670 |
| 2 Erwachsene, keine Kinder, zumindest 1 Pers. 65+ | 12,9 | 130.281 | 15.199 | 32.952 |
| 2 Erwachsene, keine Kinder, beide < 65 | 10,6 | 145.631 | 15.782 | 39.934 |
| Andere Haushalte ohne Kinder | 6,4 | 55.271 | 20.086 | 39.682 |
| Ein-Eltern-Haushalt, zumindest 1 Kind | 47,4 | 129.961 | 15.874 | 26.189 |
| 2 Erwachsene, 1 Kind | 11,4 | 123.165 | 15.086 | 34.292 |
| 2 Erwachsene, 2 Kinder | 12,4 | 167.957 | 15.601 | 32.394 |
| 2 Erwachsene, mind. 3 Kinder | 30,9 | 244.967 | 14.469 | 27.820 |
| Sonstige Haushalte mit Kindern | 17,1 | 109.900 | 14.460 | 32.951 |
| wohnhaft in ... | ||||
| dicht besiedelt | 26,2 | 739.114 | 14.857 | 34.126 |
| mittel besiedelt | 14,6 | 400.695 | 15.392 | 33.761 |
| dünn besiedelt | 12,3 | 418.914 | 15.625 | 33.597 |
- Werte mit Fallzahlen unter 20 Personen werden geklammert. (x): Werte basierend auf zu geringen Fallzahlen werden nicht ausgewiesen
7.2.1 Armuts- oder Ausgrenzungsgefährdung - Verteilung und Bundesländervergleich
In Abbildung 15 sind die Quoten der Armuts- oder Ausgrenzungsgefährdung in den Bundesländern dargestellt. Die Error bars repräsentieren jeweils das 95%- Konfidenzintervall. Wenn sich die Fehlerbalken (Error bars) der Bundesländer nicht überlappen, sind die Unterschiede der Quoten statistisch signifikant.
Lesebeispiel:
Zwischen dem Burgenland und Kärnten gibt es keine Überlappung der Fehlerbalken, d.h. der Unterschied in der Ausgrenzungsgefährdungsquote zwischen diesen beiden Bundesländern ist statistisch signifikant.
Tabelle 37 stellt die Armuts- oder Ausgrenzungsgefährdungsquote und die Anzahl der betroffenen Personen in den Bundesländern dar. Weiters zeigt sie eine Gegenüberstellung der Medianeinkommen ausgrenzungsgefährdeter bzw. nicht ausgrenzungsgefährdeter Personen.
Abbildung 16: Verteilung der Ausgrenzungsgefährdungsquote
| Bundesland | Ausgrenzungs- gefährdungsquote in % | betroffene Personen | Medianeinkommen Ausgrenzungs- gefährdeter | Medianeinkommen nicht Ausgrenzungs- gefährdeter |
|---|---|---|---|---|
| Burgenland | 9,9 | 29.286 | 16.027 | 35.371 |
| Vorarlberg | 19,4 | 77.850 | 13.069 | 34.349 |
| Salzburg | 11,5 | 64.143 | 15.820 | 33.741 |
| Kärnten | 15,9 | 88.921 | 15.460 | 33.258 |
| Tirol | 15,6 | 118.386 | 15.685 | 32.147 |
| Steiermark | 15,4 | 192.056 | 15.737 | 33.658 |
| Oberösterreich | 13,8 | 207.988 | 16.037 | 33.423 |
| Niederösterreich | 13,9 | 236.147 | 15.397 | 34.051 |
| Wien | 28,0 | 543.947 | 14.648 | 34.689 |
| Österreich | 17,4 | 1.558.723 | 15.228 | 33.806 |
7.3 Mehrfach-Ausgrenzungsgefährdung - “manifeste Armut”
Als manifest arm gelten Personen, die von einer Gefährdung in mindesten zwei der drei genannten Teilbereiche der Armuts- oder Ausgrenzungsgefährdung betroffen und somit mehrfach ausgrenzungsgefährdet sind.
In Tirol gelten nach dieser Definition etwa 14.417 Personen (1,9% der Wohnbevölkerung) als manifest arm. Das Medianeinkommen dieser Personen beläuft sich auf 14.953 Euro im Jahr.
In Tabelle 38 und Tabelle 39 sind die Ergebnisse nach soziodemografischen Merkmalen für Tirol und Österreich dargestellt. Aufgrund der kleinen Stichprobe konnte in Tirol nur nach wenigen Merkmalen gegliedert werden.
| Soziodemografisches Merkmal | Mehrfach-Ausgrenzungsgefährdungs- quote in % | betroffene Personen | Medianeinkommen Mehrfach-Ausgrenzungs- gefährdeter | Medianeinkommen nicht Mehrfach-Ausgrenzungs- gefährdeter |
|---|---|---|---|---|
| Gesamt | (1,9) | (14.417) | (14.953) | (30.211) |
| Frauen | (2,0) | (7.533) | (14.662) | (29.188) |
| Männer | (1,8) | (6.884) | (14.202) | (30.807) |
| Geburtsland nicht Österreich | (4,6) | (8.531) | (15.009) | (26.152) |
| Geburtsland Österreich | (0,9) | (4.569) | (15.446) | (31.980) |
| ledig | (2,4) | (5.251) | (13.721) | (31.408) |
| verheiratet, eingetragene Partnerschaft | (x) | (x) | (x) | (x) |
| verwitwet | (x) | (x) | (x) | (x) |
| geschieden | (x) | (x) | (x) | (x) |
| jünger 15 Jahre | (x) | (x) | (x) | (x) |
| jünger 20 Jahre | (x) | (x) | (x) | (x) |
| älter 14 und jünger 65 Jahre | (2,3) | (11.482) | (14.202) | (32.274) |
| älter 17 und jünger 65 Jahre | (2,4) | (11.482) | (14.202) | (32.497) |
| älter 65 Jahre | (x) | (x) | (x) | (x) |
| erwerbstätig | (x) | (x) | (x) | (x) |
| nicht erwerbstätig | (x) | (x) | (x) | (x) |
| Pensionisten | (x) | (x) | (x) | (x) |
| Einpersonenhaushalt | (x) | (x) | (x) | (x) |
| 2 Erwachsene, keine Kinder, zumindest 1 Pers. 65+ | (x) | (x) | (x) | (x) |
| 2 Erwachsene, keine Kinder, beide < 65 | (x) | (x) | (x) | (x) |
| Andere Haushalte ohne Kinder | (x) | (x) | (x) | (x) |
| Ein-Eltern-Haushalt, zumindest 1 Kind | (7,4) | (1.447) | (17.021) | (18.718) |
| 2 Erwachsene, 1 Kind | (x) | (x) | (x) | (x) |
| 2 Erwachsene, 2 Kinder | (x) | (x) | (x) | (x) |
| 2 Erwachsene, mind. 3 Kinder | (x) | (x) | (x) | (x) |
| Sonstige Haushalte mit Kindern | (x) | (x) | (x) | (x) |
| wohnhaft in ... | ||||
| dicht besiedelt | (7,5) | (8.274) | (15.009) | (27.081) |
| mittel besiedelt | (x) | (x) | (x) | (x) |
| dünn besiedelt | (0,8) | (2.444) | (16.954) | (29.250) |
- Werte mit Fallzahlen unter 20 Personen werden geklammert. (x): Werte basierend auf zu geringen Fallzahlen werden nicht ausgewiesen
| Soziodemografisches Merkmal | Mehrfach-Ausgrenzungsgefährdungs- quote in % | betroffene Personen | Medianeinkommen Mehrfach-Ausgrenzungs- gefährdeter | Medianeinkommen nicht Mehrfach-Ausgrenzungs- gefährdeter |
|---|---|---|---|---|
| Gesamt | 3,9 | 353.758 | 13.442 | 31.522 |
| Frauen | 3,9 | 176.322 | 13.399 | 30.897 |
| Männer | 4,0 | 177.436 | 13.606 | 32.107 |
| Geburtsland nicht Österreich | 8,1 | 161.075 | 12.811 | 26.032 |
| Geburtsland Österreich | 2,3 | 134.369 | 14.070 | 33.943 |
| ledig | 5,2 | 132.716 | 12.888 | 32.855 |
| verheiratet, eingetragene Partnerschaft | 2,2 | 84.277 | 12.998 | 33.257 |
| verwitwet | (2,1) | (10.202) | (16.413) | (27.665) |
| geschieden | 7,3 | 49.346 | 14.946 | 27.714 |
| jünger 15 Jahre | 5,2 | 68.241 | 13.548 | 28.235 |
| jünger 20 Jahre | 5,3 | 97.671 | 13.352 | 28.874 |
| älter 14 und jünger 65 Jahre | 4,4 | 266.310 | 13.172 | 33.157 |
| älter 17 und jünger 65 Jahre | 4,3 | 245.035 | 13.273 | 33.339 |
| älter 65 Jahre | 1,1 | 17.008 | 15.371 | 28.949 |
| erwerbstätig | 0,6 | 24.415 | 14.927 | 35.324 |
| nicht erwerbstätig | 11,5 | 115.251 | 13.681 | 28.885 |
| Pensionisten | 1,3 | 23.110 | 14.801 | 30.938 |
| Einpersonenhaushalt | 7,2 | 113.603 | 13.849 | 27.182 |
| 2 Erwachsene, keine Kinder, zumindest 1 Pers. 65+ | (1,1) | (11.574) | (14.457) | (31.317) |
| 2 Erwachsene, keine Kinder, beide < 65 | 2,8 | 38.550 | 13.336 | 38.555 |
| Andere Haushalte ohne Kinder | 0,9 | 7.393 | 14.550 | 38.875 |
| Ein-Eltern-Haushalt, zumindest 1 Kind | 20,3 | 56.186 | 13.584 | 22.857 |
| 2 Erwachsene, 1 Kind | (1,5) | (16.523) | (13.457) | (32.887) |
| 2 Erwachsene, 2 Kinder | 2,8 | 37.649 | 13.211 | 31.184 |
| 2 Erwachsene, mind. 3 Kinder | 6,7 | 52.704 | 11.302 | 25.015 |
| Sonstige Haushalte mit Kindern | (3,0) | (19.576) | (15.093) | (30.884) |
| wohnhaft in ... | ||||
| dicht besiedelt | 7,9 | 224.361 | 13.762 | 30.324 |
| mittel besiedelt | 2,5 | 69.712 | 13.023 | 31.713 |
| dünn besiedelt | 1,8 | 59.686 | 12.415 | 32.003 |
- Werte mit Fallzahlen unter 20 Personen werden geklammert. (x): Werte basierend auf zu geringen Fallzahlen werden nicht ausgewiesen
7.4 Teilguppen der Armuts- oder Ausgrenzungsgefährdung
Die Teilbereiche der Armuts- oder Ausgrenzungsgefährdung können sich auch überlappen. Dadurch können sieben Teilgruppen unterschieden werden, die in den Tabellen 40 für Tirol und 41 für Österreich dargestellt sind.
Bei etwa 74,8% der 118.386 ausgrenzungsgefährdeten Tiroler:innen handelt es sich um armutsgefährdete Personen, die weder depriviert sind, noch in einem Haushalt leben, der keine oder nur sehr geringe Erwerbsbeteiligung aufweist. Bei 5,7% handelt es sich um materiell und sozial erheblich deprivierte Personen, deren Einkommen jedoch oberhalb der Armutsgefährdungsschwelle liegt und in Haushalten leben, die zumindest eine teilweise Erwerbsbeteiligung aufweisen. Etwa 7,5% der Ausgrenzungsgefährdeten leben in Haushalten mit keiner oder nur geringer Erwerbsintensität, sind jedoch weder depriviert noch armutsgefährdet. Weitere 4,0% der
118.386 ausgrenzungsgefährdeten Personen in Tirol sind armutsgefährdet und leben in einem Haushalt mit keiner oder nur geringer Erwerbsintensität, es tritt jedoch keine Deprivation auf. In Haushalten, die teilweise oder volle Erwerbsbeteiligung aufweisen, aber trotzdem sowohl als armutsgefährdet als auch als depriviert gelten, leben rund 7,7% der ausgrenzungsgefährdeten Personen. Die Berechnungen für die letzten beiden Teilgruppen basieren auf zu kleinen Fallzahlen und können daher nicht ausgewiesen werden.
| Teilbereich der Gefährdung | Anzahl der Personen absolut | Anteil der Personen relativ |
|---|---|---|
| armutsgefährdet | 87.856 | 74,8 |
| depriviert | (6.590) | (5,7) |
| geringe Erwerbsintensität | (9.522) | (7,5) |
| armutsgefährdet und geringe Erwerbsintensität | (5.260) | (4,0) |
| armutsgefährdet und depriviert | (8.820) | (7,7) |
| geringe Erwerbsintensität und depriviert | (x) | (x) |
| armutsgefährdet, depriviert und geringe Erwerbsintensität | (x) | (x) |
-
Werte mit Fallzahlen unter 20 Personen werden geklammert. (x): Werte basierend auf zu geringen Fallzahlen werden nicht ausgewiesen.
Der Anteil der Personen bezieht sich auf die Gesamtheit der von Armut- oder Ausgrenzung bedrohten Personen.
| Teilbereich der Gefährdung | Anzahl der Personen absolut | Anteil der Personen relativ |
|---|---|---|
| armutsgefährdet | 975.487 | 74,8 |
| depriviert | 102.565 | 5,7 |
| geringe Erwerbsintensität | 126.913 | 7,5 |
| armutsgefährdet und geringe Erwerbsintensität | 165.348 | 4,0 |
| armutsgefährdet und depriviert | 106.350 | 7,7 |
| geringe Erwerbsintensität und depriviert | 15.739 | 0,3 |
| armutsgefährdet, depriviert und geringe Erwerbsintensität | 66.321 | - |
-
Werte mit Fallzahlen unter 20 Personen werden geklammert. (x): Werte basierend auf zu geringen Fallzahlen werden nicht ausgewiesen.
Der Anteil der Personen bezieht sich auf die Gesamtheit der von Armut- oder Ausgrenzung bedrohten Personen.
8 Erwerbsarmut - Working Poor
Unter Working Poor versteht man jene Personen im Alter von 18 bis 64 Jahren, die im Verlauf des Referenzjahres mehr als sechs Monate in Vollzeit oder Teilzeit erwerbstätig waren und deren Einkommen dennoch unter der Armutsgefährdungsschwelle liegt. Gründe dafür können sowohl ein niedriges persönliches Einkommen als auch die Haushaltszusammensetzung und die Erwerbsintensität des Haushalts sein. Je nach Definition von Erwerbstätigkeit und Einschränkung auf bestimmte Altersgruppen variiert die Anzahl der Betroffenen (vgl. Statistik Austria 2009, S. 58). Zu früheren Auswertungen der EU-SILC Erhebung hat sich die Definition der Erwerbstätigen etwas geändert. Da zur Berechnung der Armutsgefährdungsquote das Haushaltseinkommen aus den Referenzjahren (dem der Erhebungen vorangegangenen Kalenderjahr) stammt, wurden zur Ermittlung der als Working Poor geltenden Personen ebenfalls jene Erwerbstätigen herangezogen, die in den Referenzjahren - und nicht wie in früheren Analysen zum Befragungszeitpunkt - erwerbstätig waren.
In Tirol waren 350.347 Personen im Alter von 18 bis 64 Jahren im Referenzjahr mehr als sechs Monate erwerbstätig. 27.085 dieser Personen, das sind rund 7,7%, erreichten im mit 14.894 Euro ein Medianeinkommen das unterhalb der Armutsgefährdungsschwelle liegt und gelten somit als “workink poor” 3.
92,3% der untersuchten Personen erreichten mit 35.210 ein Medianeinkommen, das deutlich über der Armutsgefährdungsschwelle liegt und werden als nicht “working poor” eingestuft.
Bundesweit liegt die Quote der Erwerbsarmut bei 7,8%. Diese 317.011 Personen erzielen im Median ein Einkommen von 14.480 Euro.
Analysiert man die Daten jener Personen im Alter von 18 bis 64 Jahren, die im Referenzjahr sechs Monate oder länger erwerbstätig waren, hinsichtlich des Arbeitsausmaßes, zeigt sich, dass rund 16.380 Personen trotz Vollzeitbeschäftigung (= 7,1% aller vollzeitbeschäftigten Personen) in Tirol als Working Poor einzustufen sind. Bei den Teilzeitbeschäftigten liegt die Quote bei 8,4% (bezogen auf alle teilzeitbeschäftigten Personen), das sind etwa 6.799 Personen.
Im gesamten Bundesgebiet gelten rund 254.881 Personen mit Vollzeitbeschäftigung (7,0%) als einkommensarm. 78.816 Teilzeitbeschäftigte (8,7%) bundesweit haben ein Einkommen unterhalb der Armutsgefährdungsschwelle.
Anmerkung: Es kann vorkommen, dass sich die Zahl der als Working Poor eingestufen Personen von der Zahl der Voll- und Teilzeitbeschäftigten, deren Einkommen unterhalb der Armutsgefährdungsschwelle liegt, unterscheidet. Das lässt sich damit begründen, dass nur Personen, die im Referenzjahr mindestens 6 Monate erwerbstätig waren, in die Berechnung miteinfließen. Eine Person beispielsweise, die 5 Monate Vollzeit und 3 Monate Teilzeit erwerbstätig war und die restlichen Monate arbeitslos gemeldet war, wird zwar in der Gesamtquote berücksichtigt, in den Vollzeit- bzw. Teilzeitquoten jedoch nicht.
Von den Personen, die im Referenzjahr durchgehend 12 Monate beschäftigt waren (Voll- u. Teilzeit), erzielen 7,4%, das sind 23.179 Tiroler:innen, ein Einkommen unterhalb der Armutsgefährdungsschwelle. Von jenen Personen, die nicht über das gesamte Jahr hindurch beschäftigt waren, d.h. deren Beschäftigungsausmaß zwischen einem und elf Monaten lag, erreichten etwa 8,9% (3.906 Personen) ein Einkommen, das unterhalb der Grenze zur Armutsgefährdung liegt. In Österreich sind rund 254.881 Personen trotz ganzjähriger Beschäftigung einkommensarm (7,0%). Das Einkommen von etwa 62.130 Personen (15,9%), die weniger als 12 Monate erwerbstätig waren, liegt unterhalb der Armutsgefährdungsschwelle.
Ein deutlicher Unterschied der Working Poor Quote ist bei Betrachtung des Geburtslandes erkennbar. Nicht in Österreich geborene Personen weisen mit 16,4% in Tirol und 17,6% österreichweit einen deutlich höheren Anteil an Einkommensarmut auf, als in Österreich geborene Personen.
Ebenso, wenn auch weniger deutlich, lässt sich ein geschlechtsspezifischer Unterschied in den Working Poor Quoten erkennen. In den Tabellen 42 und 43 sind die wichtigsten Eckdaten für Tirol und Österreich zusammengestellt.
| Soziodemographisches Merkmal Beschäftigungsausmaß | working poor | Nicht working poor | ||||
|---|---|---|---|---|---|---|
| Quotein % | Personen | Einkommenin € | Quotein % | Personen | Einkommenin € | |
| Gesamt | 7,7 | 27.085 | 14.894 | 92,3 | 323.262 | 35.210 |
| Frauen | (7,6) | (11.476) | (14.635) | (92,4) | (138.704) | (35.435) |
| Männer | (7,8) | (15.609) | (14.988) | (92,2) | (184.559) | (34.861) |
| Geburtsland nicht Österreich | (16,4) | (15.879) | (14.639) | (83,6) | (79.525) | (33.140) |
| Geburtsland Österreich | (4,3) | (11.206) | (14.933) | (95,7) | (243.738) | (36.048) |
| Beschäftigungsausmaß | ||||||
| erwerbstätig 12 Monate im Vorjahr | 7,4 | 23.179 | 14.251 | 92,6 | 291.157 | 35.723 |
| erwerbstätig weniger als 12 Monate im Vorjahr | (x) | (x) | (x) | 91,1 | 32.105 | 31.214 |
| Teilzeit 6 oder mehr Monate | (8,4) | (6.799) | (14.511) | (91,6) | (74.305) | (33.824) |
| Vollzeit 6 oder mehr Monate | (7,1) | (16.380) | (14.108) | (92,9) | (216.344) | (36.347) |
- Werte mit Fallzahlen unter 20 Personen werden geklammert. (x): Werte basierend auf zu geringen Fallzahlen werden nicht ausgewiesen.
| Soziodemographisches Merkmal Beschäftigungsausmaß | working poor | Nicht working poor | ||||
|---|---|---|---|---|---|---|
| Quotein % | Personen | Einkommenin € | Quotein % | Personen | Einkommenin € | |
| Gesamt | 7,8 | 317.011 | 14.480 | 92,2 | 3.736.505 | 36.557 |
| Frauen | 7,2 | 132.733 | 14.739 | 92,8 | 1.705.343 | 36.612 |
| Männer | 8,3 | 184.278 | 14.147 | 91,7 | 2.031.163 | 36.514 |
| Geburtsland nicht Österreich | 17,6 | 170.096 | 14.509 | 82,4 | 799.190 | 30.525 |
| Geburtsland Österreich | 4,8 | 146.915 | 14.502 | 95,2 | 2.937.315 | 38.069 |
| Beschäftigungsausmaß | ||||||
| erwerbstätig 12 Monate im Vorjahr | 7,0 | 254.881 | 14.291 | 93,0 | 3.408.234 | 36.987 |
| erwerbstätig weniger als 12 Monate im Vorjahr | 15,9 | 62.130 | 15.354 | 84,1 | 328.271 | 31.877 |
| Teilzeit 6 oder mehr Monate | 8,7 | 78.816 | 14.293 | 91,3 | 831.476 | 34.251 |
| Vollzeit 6 oder mehr Monate | 6,3 | 173.069 | 14.364 | 93,7 | 2.568.641 | 37.892 |
- Werte mit Fallzahlen unter 20 Personen werden geklammert. (x): Werte basierend auf zu geringen Fallzahlen werden nicht ausgewiesen.
9 Anhang
9.1 Anhangstabellen
| Soziodemographische Merkmale | Verfügbares Haushaltseinkommen in Tirol - Median (in Euro) | |||
|---|---|---|---|---|
| inkl. soziale Transfers | exkl. soziale Transfers | |||
| Punktschätzer | Standardfehler | Punktschätzer | Standardfehler | |
| Gesamt | 44.329 | 1.405 | 39.019 | 1.164 |
| 2 Erwachsene, keine Kinder, zumindest 1 Pers. 65+ | 41.815 | 1.337 | 40.591 | 1.532 |
| 2 Erwachsene, keine Kinder, beide < 65 | 53.994 | 2.018 | 52.527 | 2.168 |
| Andere Haushalte ohne Kinder | 79.252 | 4.811 | 74.251 | 6.048 |
| Ein-Eltern-Haushalt, zumindest 1 Kind | (30.277) | (2.432) | (25.066) | (3.970) |
| 2 Erwachsene, 1 Kind | 61.116 | 3.334 | 51.025 | 4.040 |
| 2 Erwachsene, 2 Kinder | 63.751 | 3.135 | 55.503 | 3.598 |
| 2 Erwachsene, mind. 3 Kinder | (76.671) | (5.397) | (65.860) | (6.707) |
| Sonstige Haushalte mit Kindern | (83.293) | (9.353) | (73.196) | (11.046) |
| Alleinlebend < 65 | 27.998 | 885 | 26.892 | 919 |
| Alleinlebend 65+ | 22.535 | 793 | 21.946 | 934 |
| Alleinlebend Männer | 28.995 | 1.172 | 27.613 | 1.182 |
| Alleinlebend Frauen | 23.664 | 672 | 22.467 | 783 |
| Haushalt ohne Kinder | 37.015 | 1.201 | 34.055 | 1.163 |
| Haushalt mit Kindern | 66.782 | 2.982 | 56.242 | 2.710 |
| HH m. Pensionen - Alleinlebende Männer | 24.434 | 1.873 | 24.212 | 1.955 |
| HH m. Pensionen - Alleinlebende Frauen | 21.949 | 844 | 21.469 | 889 |
| Mehrpersonenhaushalt m. Pensionen | 44.201 | 1.453 | 43.072 | 1.441 |
| HH ohne Pensionen - Alleinlebende Männer | 30.230 | 1.347 | 29.336 | 1.400 |
| HH ohne Pensionen - Alleinlebende Frauen | 25.273 | 1.167 | 24.263 | 1.448 |
| Mehrpersonenhaushalt ohne Pensionen u. ohne Kinder | 58.264 | 2.709 | 56.128 | 2.815 |
| Mehrpersonenhaushalt m. 1 Kind | 68.427 | 3.655 | 57.416 | 4.523 |
| Mehrpersonenhaushalt m. 2 Kindern | 63.811 | 3.675 | 56.432 | 4.029 |
| Mehrpersonenhaushalt m. mind. 3 Kindern | (72.451) | (4.505) | (61.271) | (5.836) |
| HH m. männlichem Hauptverdiener | 51.801 | 1.216 | 46.644 | 1.487 |
| HH m. weiblicher Hauptverdienerin | 28.867 | 1.457 | 25.929 | 1.015 |
- Werte mit Fallzahlen unter 20 Personen werden geklammert. (x): Werte basierend auf zu geringen Fallzahlen werden nicht ausgewiesen.
| Soziodemographische Merkmale | Verfügbares Haushaltseinkommen in Österreich - Median (in Euro) | |||
|---|---|---|---|---|
| inkl. soziale Transfers | exkl. soziale Transfers | |||
| Punktschätzer | Standardfehler | Punktschätzer | Standardfehler | |
| Gesamt | 44.597 | 262 | 40.018 | 289 |
| 2 Erwachsene, keine Kinder, zumindest 1 Pers. 65+ | 46.588 | 570 | 45.371 | 546 |
| 2 Erwachsene, keine Kinder, beide < 65 | 57.163 | 619 | 54.284 | 645 |
| Andere Haushalte ohne Kinder | 82.173 | 1.730 | 77.460 | 1.821 |
| Ein-Eltern-Haushalt, zumindest 1 Kind | 35.479 | 936 | 25.487 | 1.589 |
| 2 Erwachsene, 1 Kind | 60.491 | 961 | 52.796 | 1.101 |
| 2 Erwachsene, 2 Kinder | 67.508 | 1.151 | 58.572 | 999 |
| 2 Erwachsene, mind. 3 Kinder | 61.862 | 2.333 | 49.267 | 2.175 |
| Sonstige Haushalte mit Kindern | 84.387 | 2.174 | 78.546 | 2.765 |
| Alleinlebend < 65 | 27.108 | 300 | 25.694 | 321 |
| Alleinlebend 65+ | 24.859 | 276 | 24.202 | 282 |
| Alleinlebend Männer | 27.990 | 356 | 26.647 | 395 |
| Alleinlebend Frauen | 24.826 | 260 | 23.715 | 273 |
| Haushalt ohne Kinder | 37.598 | 284 | 35.418 | 306 |
| Haushalt mit Kindern | 63.122 | 756 | 53.625 | 764 |
| HH m. Pensionen - Alleinlebende Männer | 27.076 | 538 | 26.716 | 502 |
| HH m. Pensionen - Alleinlebende Frauen | 23.957 | 321 | 23.323 | 355 |
| Mehrpersonenhaushalt m. Pensionen | 48.095 | 586 | 46.995 | 562 |
| HH ohne Pensionen - Alleinlebende Männer | 28.295 | 428 | 26.640 | 558 |
| HH ohne Pensionen - Alleinlebende Frauen | 25.654 | 376 | 24.279 | 416 |
| Mehrpersonenhaushalt ohne Pensionen u. ohne Kinder | 62.323 | 681 | 59.258 | 745 |
| Mehrpersonenhaushalt m. 1 Kind | 65.051 | 1.161 | 57.339 | 1.226 |
| Mehrpersonenhaushalt m. 2 Kindern | 68.832 | 1.229 | 59.504 | 1.163 |
| Mehrpersonenhaushalt m. mind. 3 Kindern | 62.908 | 2.330 | 49.046 | 2.375 |
| HH m. männlichem Hauptverdiener | 51.743 | 391 | 46.726 | 378 |
| HH m. weiblicher Hauptverdienerin | 33.186 | 443 | 29.603 | 366 |
- Werte mit Fallzahlen unter 20 Personen werden geklammert. (x): Werte basierend auf zu geringen Fallzahlen werden nicht ausgewiesen .
| Perzentile | Standardfehler des verfügbaren Haushaltseinkommens vor sozialen Transfers | |||||||||
|---|---|---|---|---|---|---|---|---|---|---|
| Burgenland | Salzburg | Vorarlberg | Kärnten | Tirol | Oberösterreich | Niederösterreich | Steiermark | Wien | Österreich | |
| 10% | 1.607 | 1.176 | 1.708 | 1.267 | 1.273 | 738 | 575 | 956 | 665 | 350 |
| 25% | 1.443 | 883 | 1.823 | 1.105 | 726 | 593 | 607 | 688 | 780 | 191 |
| 50% | 2.318 | 1.599 | 1.720 | 1.308 | 1.164 | 966 | 781 | 909 | 663 | 289 |
| 75% | 3.344 | 2.330 | 2.182 | 2.048 | 1.726 | 1.372 | 1.304 | 1.339 | 1.051 | 467 |
| 90% | 6.569 | 3.579 | 3.224 | 3.943 | 3.053 | 2.087 | 1.832 | 2.475 | 2.068 | 856 |
| Gini-Index | 1,4 | 1,3 | 1,4 | 1,1 | 1,0 | 1,3 | 1,0 | 1,2 | 1,1 | 0,4 |
| S80S20-Verhältnis | 0,8 | 0,6 | 1,8 | 0,9 | 0,8 | 0,6 | 0,4 | 0,8 | 2,0 | 0,3 |
| Perzentile | Standardfehler des verfügbaren Haushaltseinkommens nach sozialen Transfers | |||||||||
|---|---|---|---|---|---|---|---|---|---|---|
| Burgenland | Salzburg | Vorarlberg | Kärnten | Tirol | Oberösterreich | Niederösterreich | Steiermark | Wien | Österreich | |
| 10% | 1.015 | 850 | 1.348 | 720 | 973 | 743 | 428 | 638 | 396 | 214 |
| 25% | 1.488 | 859 | 1.272 | 906 | 791 | 701 | 612 | 629 | 480 | 200 |
| 50% | 2.534 | 1.359 | 1.823 | 1.484 | 1.405 | 944 | 928 | 906 | 800 | 262 |
| 75% | 3.302 | 2.379 | 2.032 | 2.396 | 1.900 | 1.244 | 1.365 | 1.534 | 939 | 443 |
| 90% | 5.925 | 3.647 | 3.797 | 3.701 | 2.574 | 1.905 | 1.840 | 2.151 | 1.713 | 689 |
| Gini-Index | 1,2 | 1,2 | 1,1 | 1,0 | 0,9 | 1,2 | 1,0 | 1,1 | 1,0 | 0,4 |
| S80S20-Verhältnis | 0,4 | 0,4 | 0,5 | 0,3 | 0,3 | 0,3 | 0,3 | 0,4 | 0,4 | 0,1 |
| Soziodemographische Merkmale | Äquivalisiertes Haushaltseinkommen in Tirol - Median (in Euro) | |||
|---|---|---|---|---|
| inkl. soziale Transfers | exkl. soziale Transfers | |||
| Punktschätzer | Standardfehler | Punktschätzer | Standardfehler | |
| Gesamt | 29.895 | 629 | 26.891 | 655 |
| Frauen | 28.932 | 661 | 25.944 | 681 |
| Männer | 30.530 | 686 | 27.818 | 747 |
| Geburtsland nicht Österreich | 25.423 | 1.333 | 21.738 | 1.930 |
| Geburtsland Österreich | 31.883 | 636 | 29.280 | 634 |
| ledig | 30.931 | 986 | 28.260 | 1.013 |
| verheiratet, eingetragene Partnerschaft | 31.471 | 743 | 28.655 | 850 |
| verwitwet | 26.141 | 1.056 | 25.245 | 1.068 |
| geschieden | 27.404 | 1.422 | 25.681 | 1.517 |
| jünger 15 Jahre | 26.609 | 1.173 | 22.444 | 1.338 |
| jünger 20 Jahre | 28.105 | 972 | 24.278 | 1.060 |
| älter 14 und jünger 65 Jahre | 31.891 | 793 | 28.950 | 843 |
| älter 17 und jünger 65 Jahre | 32.092 | 770 | 29.106 | 854 |
| älter 65 Jahre | 25.812 | 672 | 24.972 | 687 |
| erwerbstätig | 33.616 | 842 | 31.156 | 983 |
| nicht erwerbstätig | 28.366 | 1.388 | 24.116 | 1.841 |
| Pensionisten | 25.444 | 2.198 | 23.865 | 2.121 |
| Einpersonenhaushalt | 25.758 | 573 | 24.800 | 550 |
| 2 Erwachsene, keine Kinder, zumindest 1 Pers. 65+ | 27.876 | 891 | 27.061 | 1.022 |
| 2 Erwachsene, keine Kinder, beide < 65 | 35.996 | 1.345 | 35.018 | 1.446 |
| Andere Haushalte ohne Kinder | 39.032 | 2.215 | 37.036 | 2.968 |
| Ein-Eltern-Haushalt, zumindest 1 Kind | 18.718 | 1.956 | 14.206 | 2.759 |
| 2 Erwachsene, 1 Kind | 32.311 | 1.700 | 27.862 | 2.087 |
| 2 Erwachsene, 2 Kinder | 29.167 | 1.159 | 24.991 | 1.287 |
| 2 Erwachsene, mind. 3 Kinder | 27.021 | 1.906 | 21.460 | 2.452 |
| Sonstige Haushalte mit Kindern | 25.930 | 5.217 | 20.637 | 5.736 |
| wohnhaft in ... | ||||
| dicht besiedelt | 25.786 | 2.551 | 21.973 | 3.677 |
| mittel besiedelt | 31.735 | 915 | 28.449 | 1.037 |
| dünn besiedelt | 29.010 | 753 | 26.272 | 786 |
- Werte mit Fallzahlen unter 20 Personen werden geklammert. (x): Werte basierend auf zu geringen Fallzahlen werden nicht ausgewiesen .
| Soziodemographische Merkmale | Äquivalisiertes Haushaltseinkommen in Österreich - Median (in Euro) | |||
|---|---|---|---|---|
| inkl. soziale Transfers | exkl. soziale Transfers | |||
| Punktschätzer | Standardfehler | Punktschätzer | Standardfehler | |
| Gesamt | 30.832 | 175 | 28.013 | 181 |
| Frauen | 30.330 | 183 | 27.398 | 182 |
| Männer | 31.488 | 205 | 28.617 | 203 |
| Geburtsland nicht Österreich | 24.704 | 388 | 20.927 | 449 |
| Geburtsland Österreich | 33.657 | 176 | 31.183 | 202 |
| ledig | 31.902 | 303 | 29.052 | 290 |
| verheiratet, eingetragene Partnerschaft | 32.800 | 254 | 30.267 | 260 |
| verwitwet | 27.478 | 329 | 26.175 | 373 |
| geschieden | 26.247 | 490 | 24.105 | 447 |
| jünger 15 Jahre | 27.564 | 301 | 22.730 | 344 |
| jünger 20 Jahre | 28.169 | 301 | 23.721 | 358 |
| älter 14 und jünger 65 Jahre | 32.328 | 228 | 29.226 | 209 |
| älter 17 und jünger 65 Jahre | 32.507 | 227 | 29.409 | 229 |
| älter 65 Jahre | 28.778 | 270 | 27.891 | 261 |
| erwerbstätig | 35.207 | 265 | 32.793 | 256 |
| nicht erwerbstätig | 27.098 | 366 | 22.530 | 493 |
| Pensionisten | 30.558 | 622 | 29.175 | 674 |
| Einpersonenhaushalt | 26.139 | 189 | 25.013 | 217 |
| 2 Erwachsene, keine Kinder, zumindest 1 Pers. 65+ | 31.058 | 380 | 30.247 | 364 |
| 2 Erwachsene, keine Kinder, beide < 65 | 38.109 | 413 | 36.189 | 430 |
| Andere Haushalte ohne Kinder | 38.792 | 789 | 36.413 | 1.032 |
| Ein-Eltern-Haushalt, zumindest 1 Kind | 20.968 | 525 | 14.876 | 892 |
| 2 Erwachsene, 1 Kind | 32.605 | 624 | 28.238 | 517 |
| 2 Erwachsene, 2 Kinder | 30.685 | 476 | 26.727 | 456 |
| 2 Erwachsene, mind. 3 Kinder | 24.097 | 875 | 18.552 | 987 |
| Sonstige Haushalte mit Kindern | 30.500 | 1.106 | 27.769 | 1.079 |
| wohnhaft in ... | ||||
| dicht besiedelt | 28.730 | 429 | 25.689 | 441 |
| mittel besiedelt | 31.335 | 385 | 28.334 | 360 |
| dünn besiedelt | 31.665 | 311 | 29.045 | 308 |
- Werte mit Fallzahlen unter 20 Personen werden geklammert. (x): Werte basierend auf zu geringen Fallzahlen werden nicht ausgewiesen .
| Perzentile | Standardfehler des äquivalisierten Haushaltseinkommens vor sozialen Transfers | |||||||||
|---|---|---|---|---|---|---|---|---|---|---|
| Burgenland | Salzburg | Vorarlberg | Kärnten | Tirol | Oberösterreich | Steiermark | Niederösterreich | Wien | Österreich | |
| 10% | 1.712 | 1.253 | 1.902 | 1.113 | 877 | 600 | 766 | 574 | 740 | 382 |
| 25% | 885 | 759 | 1.193 | 894 | 858 | 662 | 774 | 490 | 872 | 234 |
| 50% | 1.001 | 766 | 1.222 | 795 | 655 | 431 | 610 | 442 | 587 | 181 |
| 75% | 1.320 | 1.209 | 1.009 | 791 | 857 | 677 | 735 | 687 | 621 | 261 |
| 90% | 2.910 | 2.361 | 1.884 | 1.747 | 1.485 | 1.095 | 1.571 | 1.279 | 1.166 | 482 |
| Gini-Index | 1,6 | 1,5 | 1,6 | 1,3 | 1,0 | 1,2 | 1,3 | 1,1 | 1,1 | 0,4 |
| S80S20-Verhältnis | 0,5 | 0,6 | 1,4 | 0,6 | 0,4 | 0,3 | 0,4 | 0,4 | 2,1 | 0,2 |
| Perzentile | Standardfehler des äquivalisierten Haushaltseinkommens nach sozialen Transfers | |||||||||
|---|---|---|---|---|---|---|---|---|---|---|
| Burgenland | Salzburg | Vorarlberg | Kärnten | Tirol | Oberösterreich | Steiermark | Niederösterreich | Wien | Österreich | |
| 10% | 1.211 | 756 | 1.403 | 685 | 615 | 470 | 466 | 596 | 810 | 225 |
| 25% | 771 | 651 | 866 | 763 | 644 | 491 | 518 | 506 | 519 | 169 |
| 50% | 1.101 | 891 | 990 | 745 | 629 | 466 | 600 | 453 | 527 | 175 |
| 75% | 1.243 | 1.051 | 1.019 | 700 | 801 | 674 | 696 | 543 | 643 | 213 |
| 90% | 3.331 | 2.357 | 2.152 | 1.772 | 1.427 | 1.053 | 1.500 | 1.446 | 1.127 | 509 |
| Gini-Index | 1,4 | 1,3 | 1,2 | 1,0 | 0,8 | 1,1 | 1,2 | 1,1 | 1,0 | 0,4 |
| S80S20-Verhältnis | 0,3 | 0,3 | 0,4 | 0,2 | 0,2 | 0,2 | 0,2 | 0,2 | 0,4 | 0,1 |
| Perzentile | Standardfehler des jährlichen äquivalisierten Einkommens in Euro | |||||||
|---|---|---|---|---|---|---|---|---|
| Tirol | Österreich | |||||||
| bis 15.000 | 15.000-30.000 | 30.000-45.000 | 45.000 u. mehr | bis 15.000 | 15.000-30.000 | 30.000-45.000 | 45.000 u. mehr | |
| 10% | 285 | 152 | 29 | 59 | 119 | 45 | 5 | 1 |
| 25% | 609 | 151 | 110 | 105 | 344 | 40 | 47 | 42 |
| 50% | 1.151 | 178 | 214 | 281 | 253 | 56 | 89 | 31 |
| 75% | 1.400 | 384 | 320 | 498 | 332 | 149 | 71 | 108 |
| 90% | 1.115 | 635 | 1.541 | 685 | 358 | 246 | 381 | 284 |
| Perzentile | Standardfehler des jährlichen äquivalisierten Einkommens in Euro | |||||||
|---|---|---|---|---|---|---|---|---|
| Tirol | Österreich | |||||||
| bis 15.000 | 15.000-30.000 | 30.000-45.000 | 45.000 u. mehr | bis 15.000 | 15.000-30.000 | 30.000-45.000 | 45.000 u. mehr | |
| 10% | 985 | 214 | 205 | 651 | 580 | 41 | 49 | 106 |
| 25% | 914 | 146 | 243 | 777 | 335 | 39 | 62 | 45 |
| 50% | 1.145 | 228 | 194 | 868 | 285 | 82 | 28 | 67 |
| 75% | 1.252 | 586 | 754 | 828 | 404 | 187 | 110 | 164 |
| 90% | 1.620 | 675 | 1.926 | 654 | 432 | 329 | 706 | 664 |
| Perzentile | Standardfehler des jährlichen äquivalisierten Einkommens in Euro | |||||||
|---|---|---|---|---|---|---|---|---|
| Tirol | Österreich | |||||||
| bis 15.000 | 15.000-30.000 | 30.000-45.000 | 45.000 u. mehr | bis 15.000 | 15.000-30.000 | 30.000-45.000 | 45.000 u. mehr | |
| 10% | 208 | 24 | 8 | 48 | 60 | 0 | 0 | 2 |
| 25% | 824 | 154 | 38 | 62 | 345 | 10 | 6 | 2 |
| 50% | 1.431 | 236 | 217 | 110 | 525 | 65 | 66 | 47 |
| 75% | 3.020 | 776 | 496 | 256 | 480 | 340 | 208 | 68 |
| 90% | 2.174 | 1.519 | 506 | 482 | 552 | 473 | 364 | 382 |
| Soziodemographische Merkmale | Armutsgefährdungsquote in % | |||
|---|---|---|---|---|
| vor sozialen Transfers | nach sozialen Transfers | |||
| Punktschätzer | Standardfehler | Punktschätzer | Standardfehler | |
| Gesamt | 26,6 | 2,1 | 13,4 | 1,3 |
| Frauen | 28,5 | 2,2 | 15,0 | 1,5 |
| Männer | 24,7 | 2,4 | 11,8 | 1,5 |
| Geburtsland nicht Österreich | 44,1 | 4,6 | 24,3 | 3,4 |
| Geburtsland Österreich | 17,5 | 1,6 | 9,6 | 1,2 |
| ledig | 23,8 | 2,7 | 13,5 | 2,0 |
| verheiratet, eingetragene Partnerschaft | 23,7 | 2,4 | 11,3 | 1,6 |
| verwitwet | (30,9) | (4,3) | (23,7) | (3,9) |
| geschieden | (27,1) | (4,4) | (20,5) | (4,0) |
| jünger 15 Jahre | 38,8 | 4,7 | 13,6 | 3,2 |
| jünger 20 Jahre | 34,7 | 4,4 | 12,5 | 2,7 |
| älter 14 und jünger 65 Jahre | 23,5 | 2,3 | 10,4 | 1,5 |
| älter 17 und jünger 65 Jahre | 23,6 | 2,3 | 10,4 | 1,6 |
| älter 65 Jahre | 27,5 | 2,3 | 24,5 | 2,3 |
| erwerbstätig | 16,8 | 2,0 | 7,7 | 1,2 |
| nicht erwerbstätig | (37,9) | (4,6) | (15,9) | (4,1) |
| Pensionisten | 30,1 | 6,6 | 26,0 | 6,6 |
| Einpersonenhaushalt | 30,5 | 2,5 | 25,1 | 2,4 |
| 2 Erwachsene, keine Kinder, zumindest 1 Pers. 65+ | 23,0 | 3,2 | 20,3 | 3,2 |
| 2 Erwachsene, keine Kinder, beide < 65 | (16,1) | (4,1) | (9,5) | (3,3) |
| Andere Haushalte ohne Kinder | (x) | (x) | (x) | (x) |
| Ein-Eltern-Haushalt, zumindest 1 Kind | (64,2) | (9,6) | (51,7) | (10,4) |
| 2 Erwachsene, 1 Kind | (23,5) | (5,2) | (8,9) | (4,2) |
| 2 Erwachsene, 2 Kinder | (25,2) | (4,6) | (6,8) | (2,4) |
| 2 Erwachsene, mind. 3 Kinder | 35,0 | 10,0 | 8,2 | 5,1 |
| Sonstige Haushalte mit Kindern | (x) | (x) | (x) | (x) |
| wohnhaft in ... | ||||
| dicht besiedelt | (42,8) | (8,9) | (19,9) | (5,9) |
| mittel besiedelt | 23,7 | 2,9 | 11,8 | 2,0 |
| dünn besiedelt | 24,1 | 2,5 | 12,8 | 1,7 |
- Werte mit Fallzahlen unter 20 Personen werden geklammert. (x): Werte basierend auf zu geringen Fallzahlen werden nicht ausgewiesen .
| Soziodemographische Merkmale | Armutsgefährdungsquote in % | |||
|---|---|---|---|---|
| vor sozialen Transfers | nach sozialen Transfers | |||
| Punktschätzer | Standardfehler | Punktschätzer | Standardfehler | |
| Gesamt | 24,7 | 0,5 | 14,7 | 0,4 |
| Frauen | 25,4 | 0,5 | 15,5 | 0,4 |
| Männer | 24,0 | 0,6 | 13,8 | 0,5 |
| Geburtsland nicht Österreich | 42,8 | 1,3 | 27,8 | 1,2 |
| Geburtsland Österreich | 16,4 | 0,4 | 9,4 | 0,3 |
| ledig | 24,5 | 0,7 | 15,3 | 0,6 |
| verheiratet, eingetragene Partnerschaft | 19,2 | 0,6 | 10,6 | 0,5 |
| verwitwet | 23,3 | 1,2 | 17,4 | 1,1 |
| geschieden | 34,8 | 1,2 | 24,5 | 1,1 |
| jünger 15 Jahre | 35,9 | 1,3 | 18,8 | 1,1 |
| jünger 20 Jahre | 34,2 | 1,2 | 18,8 | 1,0 |
| älter 14 und jünger 65 Jahre | 23,6 | 0,5 | 13,4 | 0,5 |
| älter 17 und jünger 65 Jahre | 23,2 | 0,5 | 13,0 | 0,4 |
| älter 65 Jahre | 19,4 | 0,7 | 16,2 | 0,6 |
| erwerbstätig | 13,7 | 0,5 | 7,5 | 0,4 |
| nicht erwerbstätig | 40,4 | 1,2 | 22,8 | 1,0 |
| Pensionisten | 21,3 | 1,2 | 15,0 | 1,0 |
| Einpersonenhaushalt | 31,9 | 0,7 | 24,6 | 0,7 |
| 2 Erwachsene, keine Kinder, zumindest 1 Pers. 65+ | 14,7 | 0,9 | 11,6 | 0,8 |
| 2 Erwachsene, keine Kinder, beide < 65 | 14,5 | 0,9 | 7,7 | 0,7 |
| Andere Haushalte ohne Kinder | 10,0 | 1,5 | 3,5 | 1,1 |
| Ein-Eltern-Haushalt, zumindest 1 Kind | 60,3 | 2,8 | 36,9 | 2,7 |
| 2 Erwachsene, 1 Kind | 21,0 | 1,6 | 9,1 | 1,2 |
| 2 Erwachsene, 2 Kinder | 23,9 | 1,5 | 10,9 | 1,2 |
| 2 Erwachsene, mind. 3 Kinder | 48,5 | 3,3 | 28,8 | 3,2 |
| Sonstige Haushalte mit Kindern | 27,2 | 3,8 | 15,0 | 3,1 |
| wohnhaft in ... | ||||
| dicht besiedelt | 34,1 | 1,2 | 21,9 | 1,0 |
| mittel besiedelt | 23,3 | 1,0 | 12,1 | 0,8 |
| dünn besiedelt | 18,0 | 0,7 | 10,7 | 0,6 |
- Werte mit Fallzahlen unter 20 Personen werden geklammert. (x): Werte basierend auf zu geringen Fallzahlen werden nicht ausgewiesen .
| Bundesland | Armutsgefährdung in % | Ausgrenzungsgefährdung in % | ||
|---|---|---|---|---|
| Punktschätzer | Standardfehler | Punktschätzer | Standardfehler | |
| Burgenland | 7,3 | 1,7 | 9,9 | 1,8 |
| Vorarlberg | 17,0 | 2,4 | 19,4 | 2,4 |
| Salzburg | 9,4 | 1,4 | 11,5 | 1,4 |
| Kärnten | 14,1 | 1,6 | 15,9 | 1,2 |
| Tirol | 13,4 | 1,3 | 15,6 | 1,6 |
| Steiermark | 13,2 | 1,1 | 15,4 | 1,2 |
| Oberösterreich | 12,0 | 1,1 | 13,8 | 1,2 |
| Niederösterreich | 11,4 | 1,0 | 13,9 | 0,9 |
| Wien | 23,3 | 1,4 | 28,0 | 1,1 |
| Österreich | 14,7 | 0,4 | 17,4 | 0,4 |
| Soziodemographische Merkmale | Gesamt | nicht armutsgefährdet | armutsgefährdet | |||
|---|---|---|---|---|---|---|
| Punkt-schätzer | Standardfehler | Punkt-schätzer | Standardfehler | Punkt-schätzer | Standardfehler | |
| unerwartete Ausgaben zu tätigen | 159.370 | 16.676 | 114.941 | 12.976 | 44.430 | 8.593 |
| einmal im Jahr auf Urlaub zu fahren | 121.109 | 16.224 | 85.541 | 13.923 | 35.567 | 9.786 |
| Miete, Betriebskosten oder Kredite pünktlich zu bezahlen | 25.614 | 5.468 | 22.522 | 5.532 | 3.092 | 1.294 |
| jeden 2. Tag Fleich, Fisch zu essen | 35.951 | 9.554 | 17.533 | 2.516 | 18.419 | 9.229 |
| die Wohnung angemessen warm zu halten | 13.230 | 4.412 | 10.498 | 5.222 | 2.732 | 985 |
| abgenützte Möbel zu ersetzen | 61.486 | 14.786 | 43.662 | 9.427 | 17.824 | 7.758 |
| ein Auto zu besitzen | 35.399 | 4.594 | 17.766 | 2.457 | 17.633 | 6.104 |
| eine zufriedenstellende Internetverbindung zu haben | (4.771) | (936) | (3.586) | (1.022) | (x) | (x) |
| abgenutzte Kleidung zu ersetzen | 15.665 | 3.233 | 11.184 | 2.952 | 4.481 | 1.884 |
| zwei Paar passende Schuhe zu besitzen | (3.293) | (2.457) | (2.353) | (1.766) | (x) | (x) |
| jede Woche einen kleinen Betrag für sich selbst auszugeben | 29.315 | 5.456 | 18.741 | 4.353 | 10.573 | 2.961 |
| regelmäßig kostenpflichtige Freizeitaktivitäten auszuüben | 55.508 | 6.405 | 35.995 | 5.808 | 19.513 | 5.689 |
| einmal im Monat Freund:innen oder Familie zum Essen/Trinken zu treffen | 19.763 | 6.144 | 9.970 | 3.298 | 9.793 | 4.447 |
| PC oder Laptop | (19.932) | (6.957) | (7.749) | (2.735) | (12.183) | (6.416) |
| Festnetztelefon oder Handy | (x) | (x) | (x) | (x) | (x) | (x) |
| Waschmaschine | (x) | (x) | (x) | (x) | (x) | (x) |
| Farbfernseher | (10.130) | (6.215) | (7.734) | (4.399) | (x) | (x) |
| Feuchtigkeit, Fäulnis, Undichtheit in Haus oder Wohnung | 61.831 | 7.138 | 41.910 | 6.103 | 19.921 | 5.737 |
| Dunkle Räume | 49.529 | 9.177 | 34.601 | 7.027 | 14.928 | 5.191 |
| Lärmbelästigung durch Nachbarn oder Straße | 151.545 | 9.986 | 129.424 | 12.325 | 22.121 | 6.333 |
| Luft-, Wasserverschmutzung, Ruß durch Verkehr/Industrie | 64.954 | 9.209 | 57.180 | 8.357 | 7.774 | 2.964 |
| Kriminalität, Gewalt oder Vandalismus in der Wohngegend | 33.015 | 8.256 | 30.030 | 7.187 | 2.986 | 2.019 |
| Allgemeiner Gesundheitszustand schlecht oder sehr schlecht | 48.818 | 4.725 | 31.739 | 3.692 | 17.079 | 2.984 |
| Chronische Krankheit vorhanden | 225.115 | 9.854 | 188.440 | 9.440 | 36.675 | 6.365 |
| notwendige zahnmedizinische Leistungen nicht leistbar | (2.066) | (729) | (1.122) | (287) | (x) | (x) |
| notwendige sonst. medizinische Leistungen nicht leistbar | (x) | (x) | (x) | (x) | (x) | (x) |
| Behinderung | 51.315 | 5.813 | 37.329 | 4.836 | 13.986 | 4.459 |
- Werte mit Fallzahlen unter 20 Personen werden geklammert. (x): Werte basierend auf zu geringen Fallzahlen werden nicht ausgewiesen .
| Soziodemographische Merkmale | Gesamt | nicht armutsgefährdet | armutsgefährdet | |||
|---|---|---|---|---|---|---|
| Punktschätzer | Standardfehler | Punktschätzer | Standardfehler | Punktschätzer | Standardfehler | |
| unerwartete Ausgaben zu tätigen | 21,0 | 2,2 | 17,5 | 2,0 | 43,3 | 7,1 |
| einmal im Jahr auf Urlaub zu fahren | 15,9 | 2,0 | 13,0 | 1,8 | 34,8 | 6,9 |
| Miete, Betriebskosten oder Kredite pünktlich zu bezahlen | 3,4 | 0,7 | 3,4 | 0,8 | 3,3 | 1,3 |
| jeden 2. Tag Fleich, Fisch zu essen | 4,7 | 1,3 | 2,7 | 0,4 | 17,9 | 8,4 |
| die Wohnung angemessen warm zu halten | 1,7 | 0,6 | 1,6 | 0,8 | 2,7 | 0,9 |
| abgenützte Möbel zu ersetzen | 8,1 | 1,9 | 6,6 | 1,4 | 17,5 | 7,4 |
| ein Auto zu besitzen | 4,7 | 0,6 | 2,7 | 0,3 | 17,3 | 6,1 |
| eine zufriedenstellende Internetverbindung zu haben | (0,8) | (0,1) | (0,6) | (0,2) | (x) | (x) |
| abgenutzte Kleidung zu ersetzen | 2,5 | 0,5 | 2,0 | 0,5 | 5,3 | 2,0 |
| zwei Paar passende Schuhe zu besitzen | (0,5) | (0,4) | (0,4) | (0,3) | (x) | (x) |
| jede Woche einen kleinen Betrag für sich selbst auszugeben | 4,6 | 0,9 | 3,4 | 0,8 | 12,6 | 3,0 |
| regelmäßig kostenpflichtige Freizeitaktivitäten auszuüben | 8,8 | 1,0 | 6,6 | 1,0 | 22,7 | 5,1 |
| einmal im Monat Freund:innen oder Familie zum Essen/Trinken zu treffen | 3,1 | 1,0 | 1,8 | 0,6 | 11,8 | 5,0 |
| PC oder Laptop | (2,6) | (0,9) | (1,2) | (0,4) | (11,4) | (6,3) |
| Festnetztelefon oder Handy | (x) | (x) | (x) | (x) | (x) | (x) |
| Waschmaschine | (x) | (x) | (x) | (x) | (x) | (x) |
| Farbfernseher | (1,3) | (0,8) | (1,2) | (0,6) | (x) | (x) |
| Feuchtigkeit, Fäulnis, Undichtheit in Haus oder Wohnung | 8,1 | 0,8 | 6,4 | 0,8 | 20,2 | 5,0 |
| Dunkle Räume | 6,5 | 1,1 | 5,2 | 0,9 | 14,8 | 5,1 |
| Lärmbelästigung durch Nachbarn oder Straße | 19,9 | 1,3 | 19,6 | 1,5 | 22,4 | 6,0 |
| Luft-, Wasserverschmutzung, Ruß durch Verkehr/Industrie | 8,5 | 1,2 | 8,7 | 1,1 | 8,0 | 3,3 |
| Kriminalität, Gewalt oder Vandalismus in der Wohngegend | 4,3 | 1,1 | 4,5 | 1,1 | 3,2 | 2,4 |
| Allgemeiner Gesundheitszustand schlecht oder sehr schlecht | 7,7 | 0,8 | 5,8 | 0,7 | 19,5 | 2,1 |
| Chronische Krankheit vorhanden | 35,6 | 1,6 | 34,5 | 1,6 | 42,8 | 3,9 |
| notwendige zahnmedizinische Leistungen nicht leistbar | (0,3) | (0,1) | (0,2) | (0,1) | (x) | (x) |
| notwendige sonst. medizinische Leistungen nicht leistbar | (x) | (x) | (x) | (x) | (x) | (x) |
| Behinderung | 8,1 | 0,9 | 6,8 | 0,9 | 16,0 | 3,8 |
- Werte mit Fallzahlen unter 20 Personen werden geklammert. (x): Werte basierend auf zu geringen Fallzahlen werden nicht ausgewiesen .
| Soziodemographische Merkmale | Gesamt | nicht armutsgefährdet | armutsgefährdet | |||
|---|---|---|---|---|---|---|
| Punkt-schätzer | Standardfehler | Punkt-schätzer | Standardfehler | Punkt-schätzer | Standardfehler | |
| unerwartete Ausgaben zu tätigen | 1.875.282 | 50.079 | 1.216.878 | 42.678 | 658.404 | 32.387 |
| einmal im Jahr auf Urlaub zu fahren | 1.567.094 | 31.228 | 1.029.603 | 27.364 | 537.491 | 26.905 |
| Miete, Betriebskosten oder Kredite pünktlich zu bezahlen | 569.396 | 23.845 | 350.386 | 18.148 | 219.010 | 13.869 |
| jeden 2. Tag Fleich, Fisch zu essen | 416.157 | 25.156 | 246.041 | 17.576 | 170.116 | 20.189 |
| die Wohnung angemessen warm zu halten | 316.462 | 15.650 | 207.983 | 15.452 | 108.479 | 4.737 |
| abgenützte Möbel zu ersetzen | 846.599 | 37.124 | 502.185 | 24.478 | 344.415 | 23.256 |
| ein Auto zu besitzen | 470.642 | 17.937 | 207.352 | 16.853 | 263.290 | 8.313 |
| eine zufriedenstellende Internetverbindung zu haben | 113.092 | 10.495 | 59.464 | 7.716 | 53.627 | 6.282 |
| abgenutzte Kleidung zu ersetzen | 345.836 | 16.783 | 199.927 | 10.536 | 145.909 | 10.820 |
| zwei Paar passende Schuhe zu besitzen | 68.448 | 7.927 | 42.949 | 6.854 | 25.499 | 3.365 |
| jede Woche einen kleinen Betrag für sich selbst auszugeben | 490.734 | 25.184 | 292.761 | 16.005 | 197.973 | 18.433 |
| regelmäßig kostenpflichtige Freizeitaktivitäten auszuüben | 794.726 | 23.606 | 494.536 | 17.403 | 300.190 | 15.991 |
| einmal im Monat Freund:innen oder Familie zum Essen/Trinken zu treffen | 262.720 | 14.093 | 158.425 | 9.412 | 104.295 | 7.494 |
| PC oder Laptop | 215.709 | 13.844 | 99.844 | 10.767 | 115.864 | 6.953 |
| Festnetztelefon oder Handy | 20.414 | 6.033 | 13.486 | 3.825 | 6.928 | 4.490 |
| Waschmaschine | 41.352 | 6.770 | 23.434 | 4.844 | 17.917 | 3.779 |
| Farbfernseher | 98.322 | 12.821 | 57.494 | 8.349 | 40.828 | 8.091 |
| Feuchtigkeit, Fäulnis, Undichtheit in Haus oder Wohnung | 931.781 | 29.631 | 710.852 | 17.506 | 220.929 | 21.452 |
| Dunkle Räume | 589.267 | 22.112 | 446.083 | 15.704 | 143.185 | 9.194 |
| Lärmbelästigung durch Nachbarn oder Straße | 1.700.354 | 52.984 | 1.434.766 | 52.680 | 265.588 | 21.076 |
| Luft-, Wasserverschmutzung, Ruß durch Verkehr/Industrie | 706.852 | 45.750 | 584.139 | 35.554 | 122.713 | 15.904 |
| Kriminalität, Gewalt oder Vandalismus in der Wohngegend | 600.567 | 28.123 | 509.182 | 25.690 | 91.385 | 9.469 |
| Allgemeiner Gesundheitszustand schlecht oder sehr schlecht | 627.307 | 13.634 | 457.834 | 9.775 | 169.473 | 6.320 |
| Chronische Krankheit vorhanden | 2.689.586 | 22.389 | 2.255.539 | 28.526 | 434.046 | 14.721 |
| notwendige zahnmedizinische Leistungen nicht leistbar | 51.875 | 5.171 | 27.964 | 3.805 | 23.910 | 3.731 |
| notwendige sonst. medizinische Leistungen nicht leistbar | (14.486) | (2.286) | (8.965) | (1.653) | (5.521) | (1.803) |
| Behinderung | 637.706 | 8.977 | 492.228 | 7.333 | 145.478 | 7.716 |
- Werte mit Fallzahlen unter 20 Personen werden geklammert. (x): Werte basierend auf zu geringen Fallzahlen werden nicht ausgewiesen .
| Soziodemographische Merkmale | Gesamt | nicht armutsgefährdet | armutsgefährdet | |||
|---|---|---|---|---|---|---|
| Punktschätzer | Standardfehler | Punktschätzer | Standardfehler | Punktschätzer | Standardfehler | |
| unerwartete Ausgaben zu tätigen | 20,9 | 0,6 | 15,9 | 0,6 | 50,1 | 2,3 |
| einmal im Jahr auf Urlaub zu fahren | 17,5 | 0,3 | 13,4 | 0,3 | 40,9 | 1,7 |
| Miete, Betriebskosten oder Kredite pünktlich zu bezahlen | 6,3 | 0,3 | 4,6 | 0,2 | 16,7 | 1,0 |
| jeden 2. Tag Fleich, Fisch zu essen | 4,6 | 0,3 | 3,2 | 0,2 | 12,9 | 1,4 |
| die Wohnung angemessen warm zu halten | 3,5 | 0,2 | 2,7 | 0,2 | 8,3 | 0,3 |
| abgenützte Möbel zu ersetzen | 9,4 | 0,4 | 6,6 | 0,3 | 26,2 | 1,5 |
| ein Auto zu besitzen | 5,2 | 0,2 | 2,7 | 0,2 | 20,1 | 0,9 |
| eine zufriedenstellende Internetverbindung zu haben | 1,5 | 0,1 | 0,9 | 0,1 | 5,1 | 0,6 |
| abgenutzte Kleidung zu ersetzen | 4,6 | 0,2 | 3,1 | 0,2 | 14,0 | 0,9 |
| zwei Paar passende Schuhe zu besitzen | 0,9 | 0,1 | 0,7 | 0,1 | 2,4 | 0,3 |
| jede Woche einen kleinen Betrag für sich selbst auszugeben | 6,5 | 0,3 | 4,5 | 0,3 | 19,0 | 1,5 |
| regelmäßig kostenpflichtige Freizeitaktivitäten auszuüben | 10,5 | 0,3 | 7,6 | 0,3 | 28,7 | 1,1 |
| einmal im Monat Freund:innen oder Familie zum Essen/Trinken zu treffen | 3,5 | 0,2 | 2,4 | 0,1 | 10,0 | 0,6 |
| PC oder Laptop | 2,4 | 0,2 | 1,3 | 0,1 | 8,8 | 0,5 |
| Festnetztelefon oder Handy | 0,2 | 0,1 | 0,2 | 0,1 | 0,5 | 0,3 |
| Waschmaschine | 0,5 | 0,1 | 0,3 | 0,1 | 1,4 | 0,3 |
| Farbfernseher | 1,1 | 0,1 | 0,8 | 0,1 | 3,1 | 0,6 |
| Feuchtigkeit, Fäulnis, Undichtheit in Haus oder Wohnung | 10,4 | 0,3 | 9,3 | 0,2 | 16,8 | 1,5 |
| Dunkle Räume | 6,6 | 0,2 | 5,8 | 0,2 | 10,9 | 0,7 |
| Lärmbelästigung durch Nachbarn oder Straße | 19,0 | 0,6 | 18,7 | 0,7 | 20,2 | 1,5 |
| Luft-, Wasserverschmutzung, Ruß durch Verkehr/Industrie | 7,9 | 0,5 | 7,6 | 0,5 | 9,4 | 1,2 |
| Kriminalität, Gewalt oder Vandalismus in der Wohngegend | 6,7 | 0,3 | 6,6 | 0,3 | 7,0 | 0,7 |
| Allgemeiner Gesundheitszustand schlecht oder sehr schlecht | 8,3 | 0,2 | 7,1 | 0,2 | 16,2 | 0,6 |
| Chronische Krankheit vorhanden | 35,7 | 0,3 | 34,7 | 0,4 | 41,5 | 1,2 |
| notwendige zahnmedizinische Leistungen nicht leistbar | 0,7 | 0,1 | 0,4 | 0,1 | 2,3 | 0,4 |
| notwendige sonst. medizinische Leistungen nicht leistbar | (0,2) | (0,0) | (0,1) | (0,0) | (0,5) | (0,2) |
| Behinderung | 8,5 | 0,1 | 7,6 | 0,1 | 13,9 | 0,7 |
- Werte mit Fallzahlen unter 20 Personen werden geklammert. (x): Werte basierend auf zu geringen Fallzahlen werden nicht ausgewiesen .
| Soziodemografisches Merkmal | Materiell und sozial depriviert | Erheblich materiell und sozial depriviert | ||
|---|---|---|---|---|
| Quote in % | Standardfehler | Quote in % | Standardfehler | |
| Gesamt | 4,5 | 1,3 | 2,1 | 0,8 |
| Frauen | 5,3 | 1,4 | 2,3 | 1,0 |
| Männer | 3,7 | 1,3 | 1,9 | 0,7 |
| Geburtsland nicht Österreich | 9,6 | 3,7 | 5,4 | 2,7 |
| Geburtsland Österreich | 2,4 | 0,3 | 0,7 | 0,2 |
| ledig | 3,2 | 0,6 | 1,3 | 0,6 |
| verheiratet, eingetragene Partnerschaft | 4,0 | 1,8 | 1,9 | 1,0 |
| verwitwet | 3,0 | 1,9 | 0,9 | 0,7 |
| geschieden | 9,3 | 2,9 | 4,6 | 2,3 |
| jünger 15 Jahre | 6,3 | 2,9 | 3,6 | 1,8 |
| jünger 20 Jahre | 5,0 | 2,2 | 2,8 | 1,4 |
| älter 14 und jünger 65 Jahre | 4,2 | 1,3 | 2,0 | 0,9 |
| älter 17 und jünger 65 Jahre | 4,3 | 1,3 | 2,1 | 0,9 |
| älter 65 Jahre | 3,7 | 0,7 | 0,9 | 0,4 |
| erwerbstätig | 2,9 | 1,0 | 1,1 | 0,6 |
| nicht erwerbstätig | 5,2 | 0,9 | 0,7 | 0,4 |
| Pensionisten | 3,7 | 1,0 | 0,7 | 0,3 |
| Einpersonenhaushalt | 7,2 | 1,4 | 2,2 | 1,1 |
| 2 Erwachsene, keine Kinder, zumindest 1 Pers. 65+ | 1,1 | 0,6 | (x) | (x) |
| 2 Erwachsene, keine Kinder, beide < 65 | 0,9 | 0,5 | 0,1 | 0,1 |
| Andere Haushalte ohne Kinder | 4,3 | 3,1 | 2,7 | 2,9 |
| Ein-Eltern-Haushalt, zumindest 1 Kind | 7,5 | 4,3 | 7,5 | 4,3 |
| 2 Erwachsene, 1 Kind | 7,9 | 3,6 | 5,3 | 2,8 |
| 2 Erwachsene, 2 Kinder | 4,5 | 2,1 | 1,8 | 1,4 |
| 2 Erwachsene, mind. 3 Kinder | 7,9 | 5,8 | 3,8 | 3,4 |
| Sonstige Haushalte mit Kindern | 0,4 | 0,5 | (x) | (x) |
| wohnhaft in ... | ||||
| dicht besiedelt | 11,7 | 5,9 | 7,4 | 4,5 |
| mittel besiedelt | 4,5 | 1,6 | 1,8 | 0,9 |
| dünn besiedelt | 1,9 | 0,3 | 0,5 | 0,2 |
- Werte mit Fallzahlen unter 20 Personen werden geklammert. (x): Werte basierend auf zu geringen Fallzahlen werden nicht ausgewiesen
| Soziodemografisches Merkmal | Materiell und sozial depriviert | Erheblich materiell und sozial depriviert | ||
|---|---|---|---|---|
| Quote in % | Standardfehler | Quote in % | Standardfehler | |
| Gesamt | 6,8 | 0,2 | 3,2 | 0,2 |
| Frauen | 7,3 | 0,3 | 3,6 | 0,2 |
| Männer | 6,3 | 0,2 | 2,9 | 0,2 |
| Geburtsland nicht Österreich | 13,6 | 0,8 | 6,7 | 0,6 |
| Geburtsland Österreich | 4,3 | 0,1 | 1,9 | 0,1 |
| ledig | 6,5 | 0,3 | 2,9 | 0,3 |
| verheiratet, eingetragene Partnerschaft | 4,9 | 0,3 | 2,2 | 0,2 |
| verwitwet | 7,5 | 0,6 | 2,9 | 0,4 |
| geschieden | 15,2 | 1,1 | 8,5 | 0,6 |
| jünger 15 Jahre | 7,8 | 0,4 | 4,1 | 0,3 |
| jünger 20 Jahre | 7,6 | 0,4 | 4,0 | 0,4 |
| älter 14 und jünger 65 Jahre | 7,2 | 0,2 | 3,5 | 0,2 |
| älter 17 und jünger 65 Jahre | 7,2 | 0,2 | 3,4 | 0,2 |
| älter 65 Jahre | 4,1 | 0,1 | 1,7 | 0,2 |
| erwerbstätig | 3,7 | 0,3 | 1,4 | 0,2 |
| nicht erwerbstätig | 14,9 | 0,6 | 7,8 | 0,3 |
| Pensionisten | 5,5 | 0,6 | 2,1 | 0,1 |
| Einpersonenhaushalt | 11,4 | 0,4 | 5,6 | 0,5 |
| 2 Erwachsene, keine Kinder, zumindest 1 Pers. 65+ | 2,5 | 0,4 | 0,8 | 0,2 |
| 2 Erwachsene, keine Kinder, beide < 65 | 4,9 | 0,6 | 2,7 | 0,3 |
| Andere Haushalte ohne Kinder | 4,4 | 0,7 | 1,8 | 0,7 |
| Ein-Eltern-Haushalt, zumindest 1 Kind | 21,7 | 2,1 | 12,7 | 2,4 |
| 2 Erwachsene, 1 Kind | 4,0 | 0,4 | 1,5 | 0,3 |
| 2 Erwachsene, 2 Kinder | 5,4 | 0,7 | 2,2 | 0,4 |
| 2 Erwachsene, mind. 3 Kinder | 9,1 | 1,2 | 5,1 | 0,7 |
| Sonstige Haushalte mit Kindern | 7,9 | 2,4 | 3,2 | 1,2 |
| wohnhaft in ... | ||||
| dicht besiedelt | 11,5 | 0,5 | 5,8 | 0,4 |
| mittel besiedelt | 5,7 | 0,4 | 2,6 | 0,3 |
| dünn besiedelt | 3,8 | 0,3 | 1,6 | 0,2 |
- Werte mit Fallzahlen unter 20 Personen werden geklammert. (x): Werte basierend auf zu geringen Fallzahlen werden nicht ausgewiesen
| Ausmaß der Erwerbsbeteiligung | Standardfehler der Haushalte absolut | Standardfehler der Haushalte relativ |
|---|---|---|
| Haushalt ohne Erwerbsbeteiligung | 2.322 | 0,5 |
| Haushalt mit sehr geringer Erwerbsbeteiligung | 2.691 | 0,5 |
| Haushalt mit größerer oder voller Erwerbsbeteiligung | 23.720 | 0,6 |
| Ausmaß der Erwerbsbeteiligung | Standardfehler der Haushalte absolut | Standardfehler der Haushalte relativ |
|---|---|---|
| Haushalt ohne Erwerbsbeteiligung | 10.947 | 0,2 |
| Haushalt mit sehr geringer Erwerbsbeteiligung | 6.822 | 0,1 |
| Haushalt mit größerer oder voller Erwerbsbeteiligung | 17.410 | 0,2 |
| Soziodemografisches Merkmal | Haushalte mit keiner oder sehr niedriger Erwerbsintensität | |||
|---|---|---|---|---|
| Tirol | Österreich | |||
| Quote in % | Standardfehler | Quote in % | Standardfehler | |
| Gesamt | 2,8 | 0,6 | 5,8 | 0,2 |
| Frauen | (3,4) | (1,2) | 5,7 | 0,3 |
| Männer | (2,3) | (0,5) | 5,9 | 0,3 |
| Geburtsland nicht Österreich | (3,0) | (1,1) | 8,8 | 0,6 |
| Geburtsland Österreich | (3,1) | (0,6) | 4,7 | 0,2 |
| ledig | (3,8) | (0,9) | 7,4 | 0,4 |
| verheiratet, eingetragene Partnerschaft | (2,5) | (1,0) | 3,9 | 0,3 |
| verwitwet | (x) | (x) | (18,1) | (5,8) |
| geschieden | (x) | (x) | 10,6 | 0,7 |
| jünger 15 Jahre | (x) | (x) | 5,1 | 0,5 |
| jünger 20 Jahre | (x) | (x) | 5,1 | 0,4 |
| älter 14 und jünger 65 Jahre | (3,1) | (0,6) | 6,0 | 0,2 |
| älter 17 und jünger 65 Jahre | (3,3) | (0,6) | 6,0 | 0,2 |
| erwerbstätig | (x) | (x) | 0,5 | 0,1 |
| nicht erwerbstätig | (21,7) | (4,7) | 35,5 | 1,4 |
| Einpersonenhaushalt | (x) | (x) | 14,4 | 0,9 |
| 2 Erwachsene, keine Kinder, zumindest 1 Pers. 65+ | (x) | (x) | 25,1 | 3,1 |
| 2 Erwachsene, keine Kinder, beide < 65 | (x) | (x) | 4,8 | 0,6 |
| Andere Haushalte ohne Kinder | (x) | (x) | (2,9) | (0,9) |
| Ein-Eltern-Haushalt, zumindest 1 Kind | (9,4) | (4,6) | 22,0 | 2,0 |
| 2 Erwachsene, 1 Kind | (x) | (x) | 2,6 | 0,6 |
| 2 Erwachsene, 2 Kinder | (x) | (x) | 2,6 | 0,5 |
| 2 Erwachsene, mind. 3 Kinder | (x) | (x) | 5,7 | 0,6 |
| Sonstige Haushalte mit Kindern | (x) | (x) | (2,7) | (1,5) |
| wohnhaft in ... | ||||
| dicht besiedelt | (x) | (x) | 10,2 | 0,7 |
| mittel besiedelt | (2,9) | (1,0) | 4,3 | 0,4 |
| dünn besiedelt | (2,1) | (0,5) | 3,0 | 0,3 |
- Werte mit Fallzahlen unter 20 Personen werden geklammert. (x): Werte basierend auf zu geringen Fallzahlen werden nicht ausgewiesen
| Soziodemographische Merkmale | Ausgrenzungsgefährdung in % | Mehrfach-Ausgrenzungsgefährdung in % | ||
|---|---|---|---|---|
| Punktschätzer | Standardfehler | Punktschätzer | Standardfehler | |
| Gesamt | 15,6 | 1,6 | (1,9) | (0,7) |
| Frauen | 17,6 | 2,4 | (2,0) | (1,1) |
| Männer | 13,6 | 1,2 | (1,8) | (0,6) |
| Geburtsland nicht Österreich | 27,6 | 4,1 | (4,6) | (2,7) |
| Geburtsland Österreich | 11,2 | 1,1 | (0,9) | (0,2) |
| ledig | 15,6 | 2,2 | (2,4) | (0,9) |
| verheiratet, eingetragene Partnerschaft | 13,0 | 2,0 | (x) | (x) |
| verwitwet | (24,8) | (4,0) | (x) | (x) |
| geschieden | 24,8 | 4,7 | (x) | (x) |
| jünger 15 Jahre | 16,9 | 4,3 | (x) | (x) |
| jünger 20 Jahre | 15,2 | 3,7 | (x) | (x) |
| älter 14 und jünger 65 Jahre | 12,8 | 1,6 | (2,3) | (0,8) |
| älter 17 und jünger 65 Jahre | 12,8 | 1,7 | (2,4) | (0,9) |
| älter 65 Jahre | 25,1 | 2,6 | (x) | (x) |
| erwerbstätig | 8,5 | 1,2 | (x) | (x) |
| nicht erwerbstätig | (20,9) | (4,8) | (x) | (x) |
| Pensionisten | 26,5 | 5,7 | (x) | (x) |
| Einpersonenhaushalt | 27,2 | 3,4 | (x) | (x) |
| 2 Erwachsene, keine Kinder, zumindest 1 Pers. 65+ | 21,4 | 3,8 | (x) | (x) |
| 2 Erwachsene, keine Kinder, beide < 65 | (11,0) | (3,4) | (x) | (x) |
| Andere Haushalte ohne Kinder | (x) | (x) | (x) | (x) |
| Ein-Eltern-Haushalt, zumindest 1 Kind | 61,1 | 9,7 | (7,4) | (4,3) |
| 2 Erwachsene, 1 Kind | (12,8) | (2,7) | (x) | (x) |
| 2 Erwachsene, 2 Kinder | (8,6) | (3,1) | (x) | (x) |
| 2 Erwachsene, mind. 3 Kinder | (12,0) | (6,3) | (x) | (x) |
| Sonstige Haushalte mit Kindern | (x) | (x) | (x) | (x) |
| wohnhaft in ... | ||||
| dicht besiedelt | 23,2 | 7,2 | (7,5) | (4,7) |
| mittel besiedelt | 14,6 | 1,7 | (x) | (x) |
| dünn besiedelt | 14,0 | 1,7 | (0,8) | (0,3) |
- Werte mit Fallzahlen unter 20 Personen werden geklammert. (x): Werte basierend auf zu geringen Fallzahlen werden nicht ausgewiesen .
| Soziodemographische Merkmale | Ausgrenzungsgefährdung in % | Mehrfach-Ausgrenzungsgefährdung in % | ||
|---|---|---|---|---|
| Punktschätzer | Standardfehler | Punktschätzer | Standardfehler | |
| Gesamt | 17,4 | 0,4 | 3,9 | 0,1 |
| Frauen | 18,3 | 0,6 | 3,9 | 0,2 |
| Männer | 16,4 | 0,4 | 4,0 | 0,2 |
| Geburtsland nicht Österreich | 32,3 | 0,9 | 8,1 | 0,4 |
| Geburtsland Österreich | 11,4 | 0,4 | 2,3 | 0,1 |
| ledig | 18,7 | 0,9 | 5,2 | 0,2 |
| verheiratet, eingetragene Partnerschaft | 12,5 | 0,6 | 2,2 | 0,2 |
| verwitwet | 19,5 | 1,1 | (2,1) | (0,5) |
| geschieden | 29,7 | 1,1 | 7,3 | 0,6 |
| jünger 15 Jahre | 21,7 | 1,0 | 5,2 | 0,6 |
| jünger 20 Jahre | 21,4 | 1,2 | 5,3 | 0,4 |
| älter 14 und jünger 65 Jahre | 16,7 | 0,4 | 4,4 | 0,2 |
| älter 17 und jünger 65 Jahre | 16,3 | 0,4 | 4,3 | 0,2 |
| älter 65 Jahre | 16,8 | 0,7 | 1,1 | 0,1 |
| erwerbstätig | 8,7 | 0,5 | 0,6 | 0,1 |
| nicht erwerbstätig | 30,6 | 1,1 | 11,5 | 0,5 |
| Pensionisten | 15,7 | 2,0 | 1,3 | 0,1 |
| Einpersonenhaushalt | 28,8 | 0,8 | 7,2 | 0,4 |
| 2 Erwachsene, keine Kinder, zumindest 1 Pers. 65+ | 12,9 | 0,8 | (1,1) | (0,2) |
| 2 Erwachsene, keine Kinder, beide < 65 | 10,6 | 0,8 | 2,8 | 0,4 |
| Andere Haushalte ohne Kinder | 6,4 | 1,3 | 0,9 | 0,5 |
| Ein-Eltern-Haushalt, zumindest 1 Kind | 47,4 | 2,5 | 20,3 | 2,0 |
| 2 Erwachsene, 1 Kind | 11,4 | 1,4 | (1,5) | (0,3) |
| 2 Erwachsene, 2 Kinder | 12,4 | 1,2 | 2,8 | 0,6 |
| 2 Erwachsene, mind. 3 Kinder | 30,9 | 2,9 | 6,7 | 1,0 |
| Sonstige Haushalte mit Kindern | 17,1 | 3,6 | (3,0) | (1,3) |
| wohnhaft in ... | ||||
| dicht besiedelt | 26,2 | 1,0 | 7,9 | 0,5 |
| mittel besiedelt | 14,6 | 1,0 | 2,5 | 0,1 |
| dünn besiedelt | 12,3 | 0,7 | 1,8 | 0,3 |
- Werte mit Fallzahlen unter 20 Personen werden geklammert. (x): Werte basierend auf zu geringen Fallzahlen werden nicht ausgewiesen.
| Teilbereich der Gefährdung | Standardfehler der Personen absolut | Standardfehler der Personen relativ |
|---|---|---|
| armutsgefährdet | 9.396 | 5,7 |
| depriviert | (3.154) | (3,0) |
| geringe Erwerbsintensität | (3.778) | (2,5) |
| armutsgefährdet und geringe Erwerbsintensität | (1.495) | (1,3) |
| armutsgefährdet und depriviert | (5.686) | (4,8) |
| geringe Erwerbsintensität und depriviert | (x) | 0,3 |
| armutsgefährdet, depriviert und geringe Erwerbsintensität | (x) | - |
-
Werte mit Fallzahlen unter 20 Personen werden geklammert. (x): Werte basierend auf zu geringen Fallzahlen werden nicht ausgewiesen.
Der Anteil der Personen bezieht sich auf die Gesamtheit der von Armut- oder Ausgrenzung bedrohten Personen.
| Teilbereich der Gefährdung | Standardfehler der Personen absolut | Standardfehler der Personen relativ |
|---|---|---|
| armutsgefährdet | 30.349 | 0,7 |
| depriviert | 12.967 | 0,8 |
| geringe Erwerbsintensität | 9.175 | 0,7 |
| armutsgefährdet und geringe Erwerbsintensität | 11.602 | 0,8 |
| armutsgefährdet und depriviert | 11.570 | 0,6 |
| geringe Erwerbsintensität und depriviert | 2.574 | 0,2 |
| armutsgefährdet, depriviert und geringe Erwerbsintensität | 7.028 | 0,5 |
-
Werte mit Fallzahlen unter 20 Personen werden geklammert. (x): Werte basierend auf zu geringen Fallzahlen werden nicht ausgewiesen.
Der Anteil der Personen bezieht sich auf die Gesamtheit der von Armut- oder Ausgrenzung bedrohten Personen.
| Soziodemographisches Merkmal Beschäftigungsausmaß | Standardfehler | |||||
|---|---|---|---|---|---|---|
| "working poor" | Nicht "working poor" | |||||
| Quotein % | Personen | Einkommenin € | Quotein % | Personen | Einkommenin € | |
| Gesamt | 1,1 | 3.454 | 1.285 | 1,1 | 10.873 | 1.022 |
| Frauen | (1,4) | (1.835) | (1.152) | (1,4) | (7.905) | (1.144) |
| Männer | (1,3) | (2.393) | (2.051) | (1,3) | (7.396) | (913) |
| Geburtsland nicht Österreich | (4,9) | (4.725) | (1.782) | (4,9) | (7.258) | (2.071) |
| Geburtsland Österreich | (0,9) | (2.680) | (2.157) | (0,9) | (10.304) | (1.250) |
| Beschäftigungsausmaß | ||||||
| erwerbstätig 12 Monate im Vorjahr | 1,1 | 3.132 | 1.966 | 1,1 | 9.533 | 971 |
| erwerbstätig weniger als 12 Monate im Vorjahr | (x) | (x) | (x) | 2,9 | 3.084 | 1.801 |
| Teilzeit 6 oder mehr Monate | (1,5) | (1.412) | (2.323) | (1,5) | (3.352) | (1.128) |
| Vollzeit 6 oder mehr Monate | (1,4) | (3.258) | (2.969) | (1,4) | (6.906) | (895) |
- Werte mit Fallzahlen unter 20 Personen werden geklammert. (x): Werte basierend auf zu geringen Fallzahlen werden nicht ausgewiesen .
| Soziodemographisches Merkmal Beschäftigungsausmaß | Standardfehler | |||||
|---|---|---|---|---|---|---|
| "working poor" | Nicht "working poor" | |||||
| Quotein % | Personen | Einkommenin € | Quotein % | Personen | Einkommenin € | |
| Gesamt | 0,3 | 12.620 | 251 | 0,3 | 25.469 | 284 |
| Frauen | 0,4 | 6.880 | 397 | 0,4 | 17.185 | 360 |
| Männer | 0,4 | 9.410 | 371 | 0,4 | 13.377 | 248 |
| Geburtsland nicht Österreich | 1,3 | 12.312 | 463 | 1,3 | 31.350 | 558 |
| Geburtsland Österreich | 0,3 | 8.188 | 290 | 0,3 | 30.467 | 225 |
| Beschäftigungsausmaß | ||||||
| erwerbstätig 12 Monate im Vorjahr | 0,3 | 11.213 | 397 | 0,3 | 20.078 | 271 |
| erwerbstätig weniger als 12 Monate im Vorjahr | 1,4 | 5.417 | 349 | 1,4 | 12.110 | 538 |
| Teilzeit 6 oder mehr Monate | 0,6 | 5.571 | 443 | 0,6 | 20.447 | 401 |
| Vollzeit 6 oder mehr Monate | 0,4 | 11.426 | 497 | 0,4 | 26.595 | 311 |
- Werte mit Fallzahlen unter 20 Personen werden geklammert. (x): Werte basierend auf zu geringen Fallzahlen werden nicht ausgewiesen .
9.2 Mathematische Darstellung der angewandten Methoden
Armutsgefährdungsschwelle: ARPT
60% des nationalen verfügbaren Medianeinkommens\[ARPT = 0,6*\hat{Y}_{ 0,5 }\]
wobei
\(\hat{Y}_{0,5}=\) Median des nationalen verfügbaren Einkommens
Armutsgefährdungsquote: ARPR
Prozentanteil der Personen die unterhalb der Armutsgefährdungsschwelle liegen an der gesamten Untersuchungsgruppe.\[ARPR = \frac{\sum \limits_{k\epsilon S}I_k} {\sum \limits_{k\epsilon S}w_k}*100\]
wobei
\(k\dots\) Index der Untersuchungseinheit
\(w_k\dots\) Gewichtung der Untersuchungseinheit
\(S\dots\) Ausgewählte Subgruppe
\(I_k = \begin{cases} 1 & \text{if } y_k<ARPT \\ 0 & \text{ sonst } \end{cases}\)
Dreijährige Durchschnitte
Um den Fehler durch indirekte Schätzung zu reduzieren, wurde ein gleitender, dreijähriger und symmetrischer Durchschnitt (arithmetisches Mittel) der direkten Schätzer verwendet. Die indirekten Schätzer und deren Fehler wurden mittels Bootstrap- Verfahren berechnet, welches die Überlappung der Stichproben aufgrund des Rotationsplans berücksichtigt.
Bootstrap
Das Bootstrap-Verfahren ist ein bereits seit Langem bekanntes statistisches Prinzip, das häufig zur Schätzung von Konfidenzintervallen und Standardfehlern von Punktschätzungen eingesetzt wird (vgl. B. und J. (1993)). Wenn eine Zufallsstichprobe aus einer unbekannten Verteilung stammt, lässt sich die Verteilung einer Punktschätzung in vielen Fällen nicht analytisch bestimmen. Mithilfe des Bootstrapping-Verfahrens kann diese Verteilung jedoch durch Simulation angenähert werden.
Das Grundprinzip des Bootstrap-Verfahrens besteht darin, wiederholt Stichproben des Umfangs n* mit Zurücklegen zu ziehen und daraus die Modellparameter zu schätzen. Auf Basis der so gewonnenen Schätzergebnisse können anschließend der Standardfehler sowie die daraus resultierenden Konfidenzintervalle berechnet werden.
Da es sich bei der EU-SILC-Erhebung um eine geschichtete Stichprobe ohne Zurücklegen aus einer endlichen Grundgesamtheit handelt, muss ein erweitertes Verfahren, das sogenannte reskalierte Bootstrap-Verfahren nach Rao und Wu, angewendet werden (vgl. Rao und Wu (1988)). Bei diesem Ansatz werden die Bootstrap-Stichproben ohne Zurücklegen gezogen, wobei sowohl die Schichtung als auch die Clusterbildung in mehreren Stufen berücksichtigt werden (vgl. Chipperfield und Preston (2007); Preston (2009)).
Eine detaillierte Beschreibung der angewandten Methodik findet sich in Gussenbauer, Kowarik, und Cillia (2022).
Die Genauigkeit der mit dem Bootstrap-Verfahren geschätzten Standardfehler hängt von der Anzahl der Bootstrap-Ziehungen
B ab. Mit zunehmendem B nähern sich die Bootstrap-Schätzungen ihrem wahren Erwartungswert an, d. h. die Schätzung des Standardfehlers konvergiert. Ab einer bestimmten Anzahl von Ziehungen verändert sich der geschätzte Standardfehler nur noch geringfügig, was darauf hinweist, dass eine hinreichende numerische Stabilität erreicht ist. In der Praxis zeigt sich, dass bereits einige Hundert bis wenige Tausend Wiederholungen ausreichen, um stabile Ergebnisse zu erzielen, wobei die erforderliche Anzahl von B von der Komplexität des zugrunde liegenden Modells und der Variabilität der Daten abhängt.
Die folgende Abbildung zeigt, dass der geschätzte Standardfehler der im vorliegenden Bericht berechneten Armutsgefährdungsquote mit zunehmender Anzahl an Bootstrap-Ziehungen konvergiert und sich schließlich auf einem stabilen Niveau einpendelt.
Abbildung 17: Konvergenz des Bootstrap-Standardfehlers (Referenz = Mittel der letzten 20 Werte)
Literatur
Monatswert entspricht 1/12 des Jahreswertes↩︎
https://ec.europa.eu/commission/presscorner/detail/de/ip_22_3782 (07.03.2023)↩︎
Bei den Untersuchungen zu „Working Poor“ sind keine Präsenz- und Zivildiener berücksichtigt.↩︎